Предмет: Алгебра, автор: musoff7

люди, помогите пожалуйста, у меня 5 минут осталось!!! заранее огромное спасибо ​

Приложения:

Ответы

Автор ответа: Universalka
1

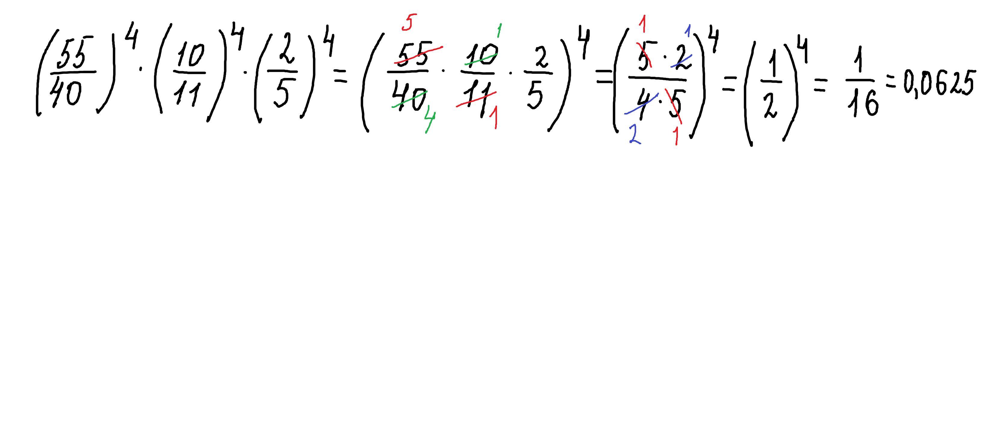
\displaystyle\bf\\\Big(\frac{55}{40} \Big)^{4} \cdot\Big(\frac{10}{11} \Big)^{4} \cdot\Big(\frac{2}{5} \Big)^{4} =\Big(\frac{5\cdot 11}{4\cdot10} \cdot\frac{10}{11} \cdot\frac{2}{5} \Big)^{4} =\Big(\frac{1}{2} \Big)^{4} =\frac{1}{16}

Автор ответа: parus77
1

Ответ:

1\16

Объяснение:

решение смотри внизу

Приложения:
Похожие вопросы
Предмет: Другие предметы, автор: love246
Предмет: Алгебра, автор: katia866