Предмет: Математика,
автор: 15242829j29
Доброго времени суток, помогите пожалуйста.
Приложения:
Ответы
Автор ответа:
1
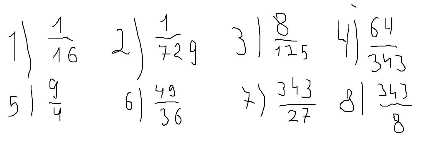
Ответ:
Пошаговое объяснение:
Приложения:
Похожие вопросы
Предмет: Английский язык,
автор: tinakuzmenko742
Предмет: Русский язык,
автор: фаргана3
Предмет: Українська мова,
автор: svetdiden
Предмет: Қазақ тiлi,
автор: aigerasoyaa14