Предмет: Алгебра,
автор: alisaishenko
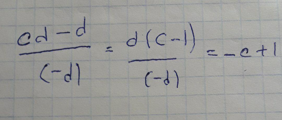
(cd-d)÷(-d) решите пример
Ответы
Автор ответа:
1
Ответ:
вот это новерно помогла
Приложения:
Автор ответа:
0
Ответ:
Прикрепила
Объяснение:
Приложения:
Похожие вопросы
Предмет: Английский язык,
автор: Аноним
Предмет: Русский язык,
автор: nadija1987
Предмет: Русский язык,
автор: Sedaaliz
Предмет: История,
автор: Аноним
Предмет: Русский язык,
автор: gadaevak