Предмет: Математика, автор: norkoman4ik

Помогите срочно надо(

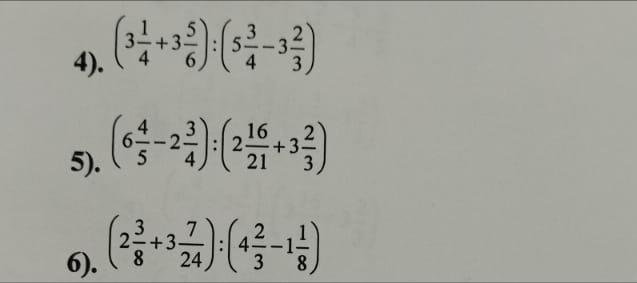
Приложения:

Ответы

Автор ответа: axrorovmahmud2
1

Ответ:

( \frac{13}{4}  +  \frac{23}{6} ) \div ( \frac{23}{4}  -  \frac{11}{3} ) =  \\  \ \\

 = ( \frac{39 + 46}{12} ) \div ( \frac{69 - 44}{12} ) =  \frac{85}{12}  \div  \frac{25}{12}  =  \\  \frac{85}{12}  \times  \frac{12}{25}  =  \frac{85}{25}  =  \frac{17}{5}


axrorovmahmud2: в некоторых местах идёт сокращение
Похожие вопросы
Предмет: Английский язык, автор: DegiMaster
Предмет: Русский язык, автор: znanjia13