Предмет: Алгебра,
автор: Xydojnik0Ink
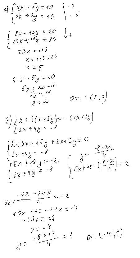
Решите, пожалуйста, систему уравнений методом АЛГЕБРАИЧЕСКОГО СЛОЖЕНИЯ. ( а)
Б - методом подстановки,.
Срочно!!!
Приложения:
Ответы
Автор ответа:
0
Ответ:
(5, 2), (-4, 1)
Объяснение:
Приложения:
Похожие вопросы
Предмет: Русский язык,
автор: Nicole4444
Предмет: Русский язык,
автор: alex9919
Предмет: Русский язык,
автор: Аноним
Предмет: Биология,
автор: taniatopikha