Предмет: Алгебра,
автор: Kbpf20041
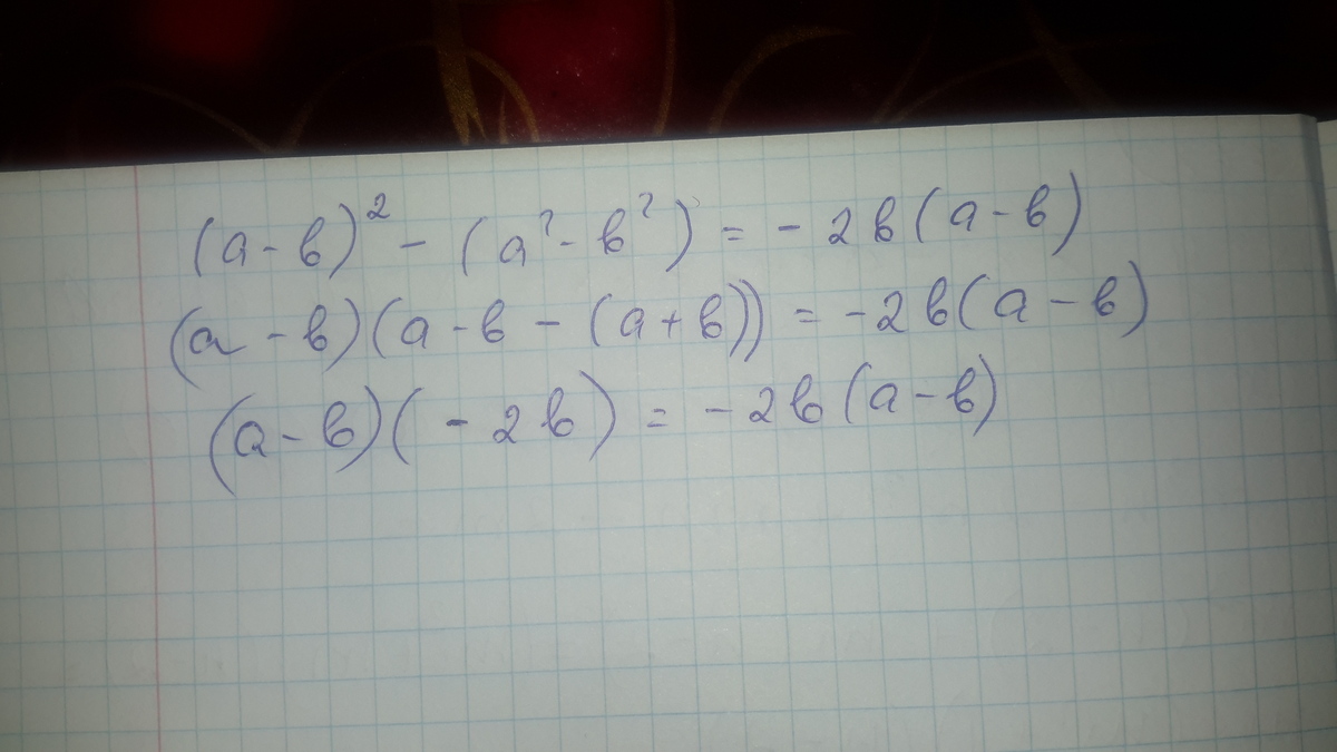
докажите тождество: (a-b)^2-(a^2-b^2)=-2b•(a-b)
Ответы
Автор ответа:
0
""""""""""""""""""""""""""""""""""""""""""""""""
Приложения:
Похожие вопросы
Предмет: Английский язык,
автор: ryspaevasamira13
Предмет: Русский язык,
автор: omu120
Предмет: Физика,
автор: ekimovagala2014
Предмет: Математика,
автор: ЛисаАлиска1