Предмет: Алгебра,
автор: travisnocapscott
Знайти первісну F(x), якщо f(x)=
1

2.

Ответы
Автор ответа:
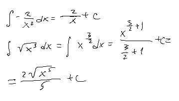
2
Ответ:
Объяснение:
табличні
Приложения:
travisnocapscott:
Дякую!
А можете пояснити детальніше 1-й випадок?
Автор ответа:
1
Відповідь: фото
Пояснення:
Приложения:
Щиро вдячний!
Похожие вопросы
Предмет: Русский язык,
автор: ctvmz2007
Предмет: Другие предметы,
автор: TolikOsa
Предмет: Английский язык,
автор: kixgr
Предмет: Литература,
автор: re279675
Предмет: Русский язык,
автор: musayev79