Предмет: Физика,
автор: elenamasnikova666
помогите срочно решить задачу с дано, решением
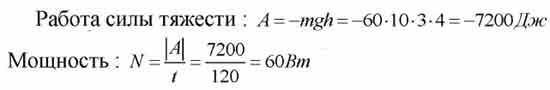
Школьник массой 60кг равномерно поднимается с первого этажа на пятый за 2 мин. Какую мощность при этом он развивает, если высота одного этажа 3м?
Ответы
Автор ответа:
0
Ответ:
Ответ!
Объяснение:
Приложения:
elenamasnikova666:
нужно с дано и тд
это я и сама видела на сайте
Похожие вопросы
Предмет: Қазақ тiлi,
автор: robert12214
Предмет: Русский язык,
автор: Kristin2001Sh
Предмет: Русский язык,
автор: Аноним
Предмет: Английский язык,
автор: CassidyZum
Предмет: Математика,
автор: 0varenikk0