Предмет: Алгебра,
автор: chufistova2005
даю 50 балов..........
Приложения:
Ответы
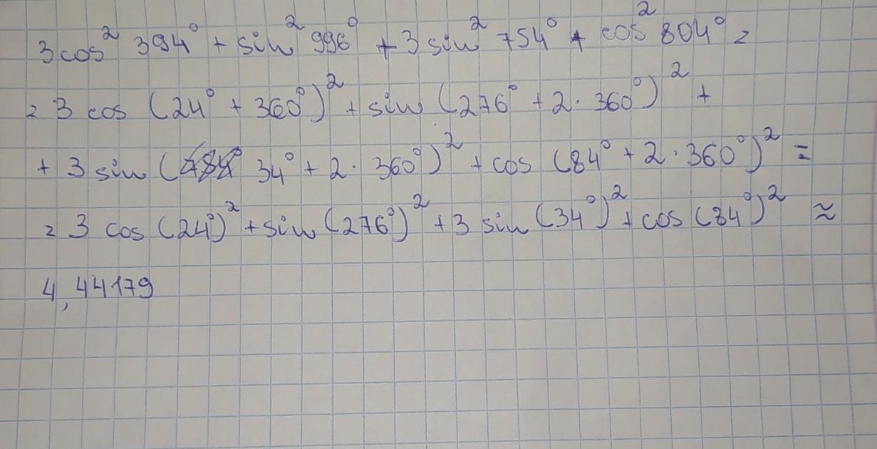
Автор ответа:
1
надеюсь помогла, вроде правильно
Приложения:
chufistova2005:
поздно уже, но спасибо
:'(
♡:)
Похожие вопросы
Предмет: Русский язык,
автор: тажир
Предмет: Русский язык,
автор: тажир
Предмет: Русский язык,
автор: lisa801
Предмет: Русский язык,
автор: alyakuzneczova2006
Предмет: Математика,
автор: Ramonamandarin