Предмет: Математика,
автор: diarymailfuture
помогите пожалуйста
даю 15 баллов
Приложения:
Ответы
Автор ответа:
0
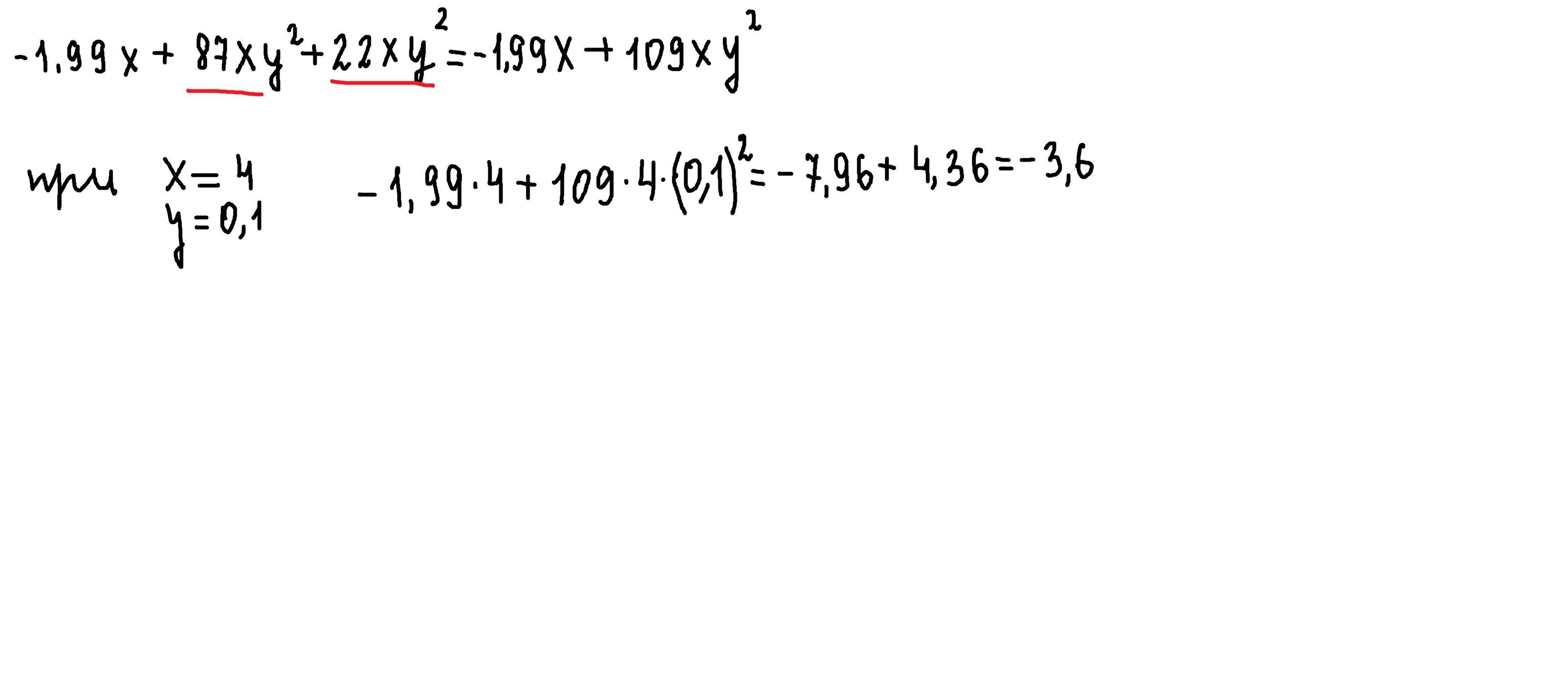
Ответ:
-3,6
Пошаговое объяснение:
Приложения:
Похожие вопросы
Предмет: Русский язык,
автор: анджи3
Предмет: Русский язык,
автор: iinjung
Предмет: Русский язык,
автор: gulperigulya
Предмет: Алгебра,
автор: Анелетта
Предмет: Математика,
автор: vadim4ikvad