Предмет: Математика,
автор: fominaa447
Помогите пожалуйста!
Приложения:
Ответы
Автор ответа:
1
Ответ:
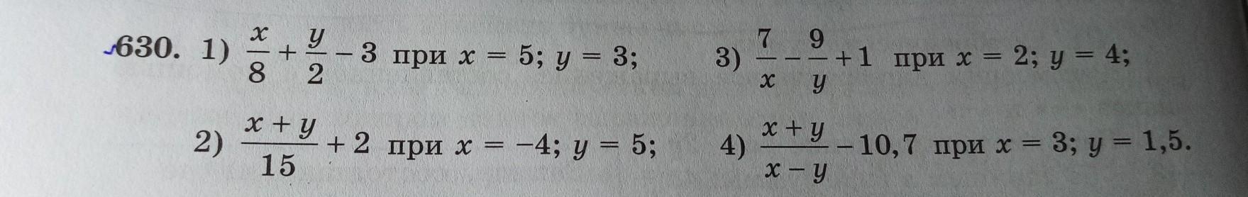
1)
х /8+у/2-3
у/2 умножаем на 4
х/8+4у/8-3/1
3/1 умножаем на 8
5/8+12/8- 24/8= 17/8-24/8= -7/-8
минус ставится на уровне дробной черты
2) х+у/15+2=
х+у/15+30/15=
-4+5/15+30/15=
1+30/15=
31/15= две целых 1/15
Можешь записать под одну дробную черту когда получаешь общий знаменатель,но тогда надо будет х+у взять в скобки. Это не обязательно делать т.к разницы не будет, можешь не ставить бод общую черту деления-дроби
3)7/х-9/у=
7/2-9/4=
14/4-9/4=
5/4=1¼
4)х+у/х-у-10,7=
3+1,5/3-1,5-10,7=
4,5/1,5-10,7=
Приношу извинения дальше сделать не могу,с десятичными дробями проблема..
Похожие вопросы
Предмет: Другие предметы,
автор: мария353
Предмет: Английский язык,
автор: Sadgirl367
Предмет: Русский язык,
автор: Назга
Предмет: Математика,
автор: gsumaya1
Предмет: Информатика,
автор: tanyacooper73