Предмет: Математика,
автор: viktoriagruniceva65
Помогите Пажалуйста ДАММ 20 БАЛОВ
Приложения:
Ответы
Автор ответа:
0
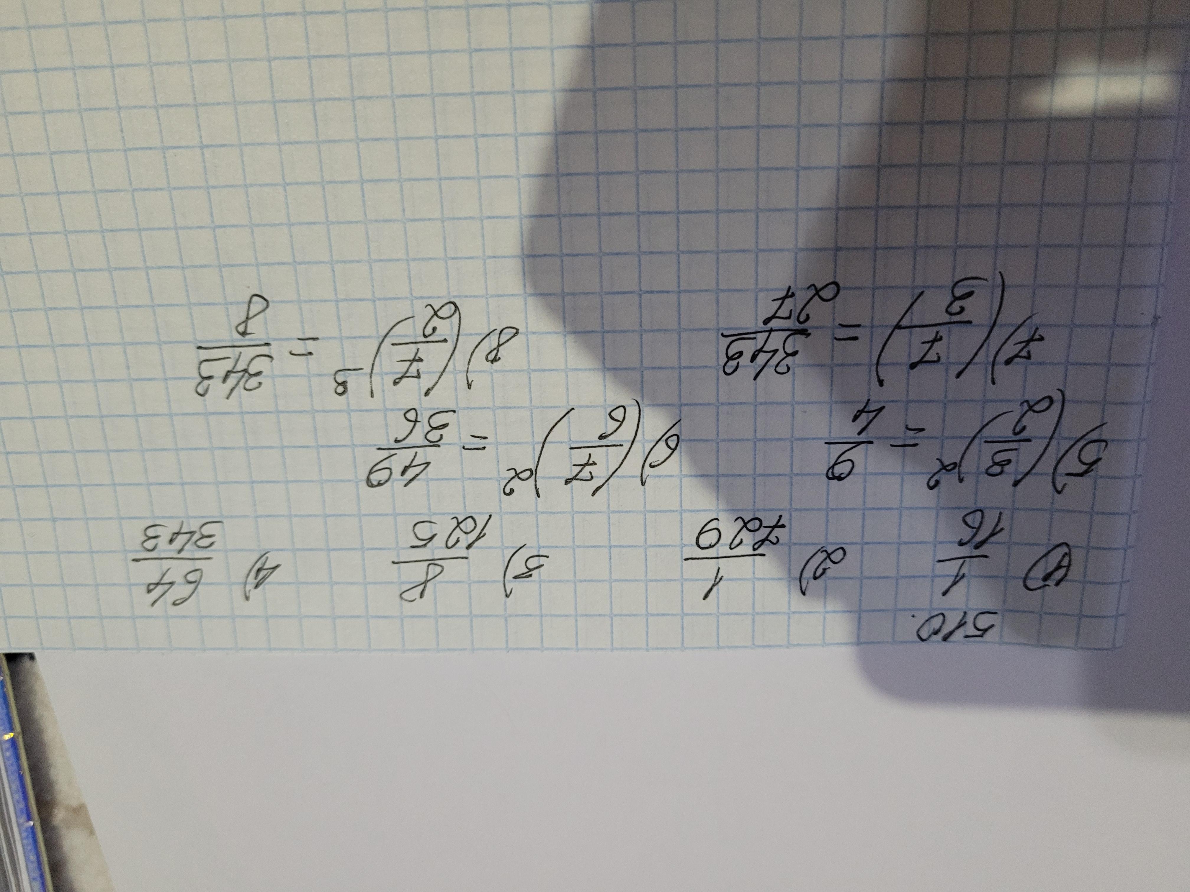
Ответ:
Пошаговое объяснение:
Думаю правильно
Приложения:
Похожие вопросы
Предмет: Английский язык,
автор: DashaLOLpolbarinova
Предмет: Немецкий язык,
автор: Аноним
Предмет: Английский язык,
автор: DashaLOLpolbarinova
Предмет: Биология,
автор: 380661107268mapeuo0g
Предмет: Химия,
автор: hramcovaliza34