Предмет: Математика, автор: risean0115

помогите пожалуйста ​

Приложения:

Ответы

Автор ответа: parus77
1

Ответ:

Пошаговое объяснение:

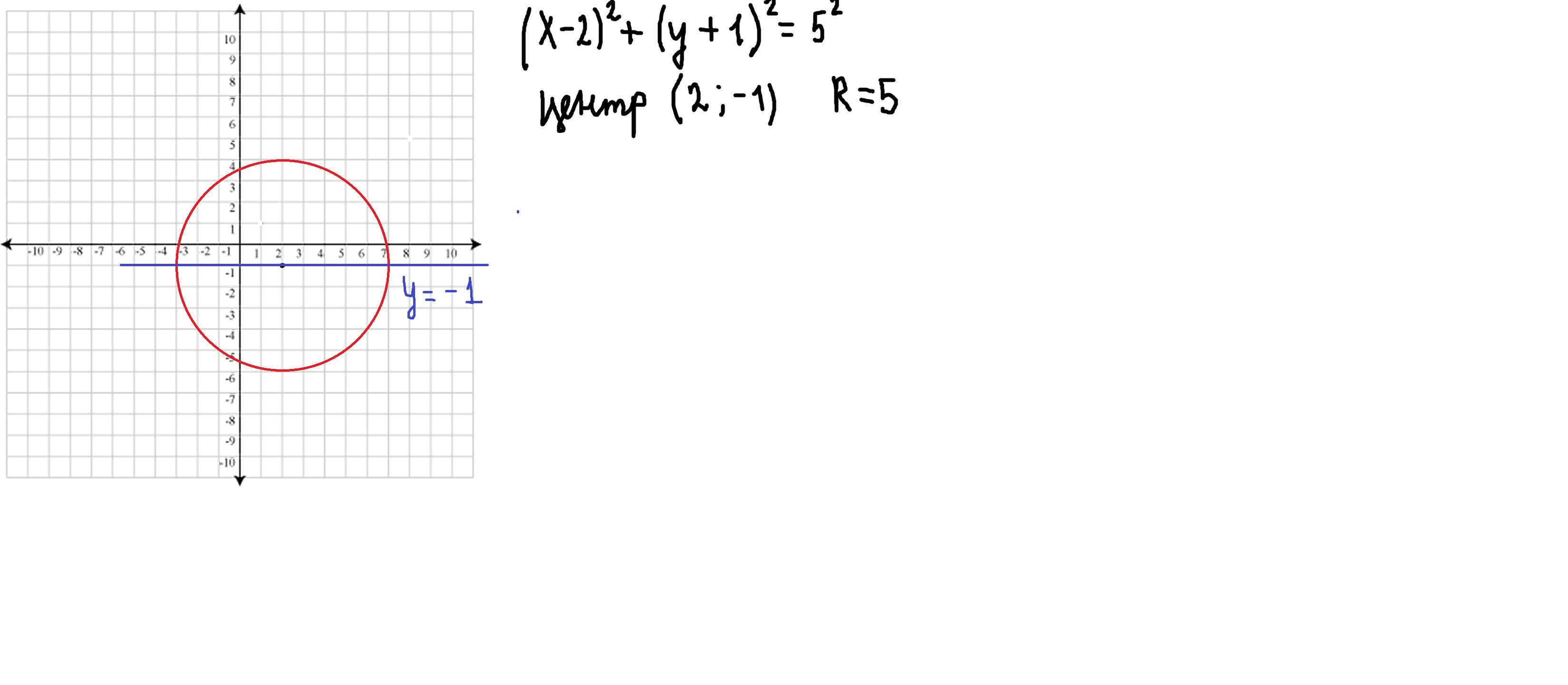
найдем центр окружности ,это т.О(2;-1)

прямая,проходящая через центр окружности и параллельно оси абсцисс(ОХ) будет прямая у= -1

Приложения:
Похожие вопросы
Предмет: Русский язык, автор: kaiparker
1 задание:
Укажите способ образование слова СОЗЕРЦАНИЕ:
...мысль его переходила в грезы,в созерцание..
2 задание:
Выпишите все отвлеченные существительные :
Он всегда как бы с отвращением брал её руку,всегда точно с досадой встречал её,иногда упорно молчал во все время её посещения.Случалось,что она трепетала его и уходила в глубокой скорби.Но теперь их руки не разнимались,он мельком и быстро взглянул на неё,ничего не выговорил и опустил свои глаза в землю.
3 задание:
Выпишите сказуемые и определите их тип:
Они хотели говорить,но не могли э. Слезы стояли в их глазах. Они оба были бледны и худы;но в этих больных и бледных лицах уже сияла заря обновлённого будущего,полного воскресения и новую жизнь.
4 задание:
Выпишите подчинительное словосочетание со связью ПРИМЫКАНИЕ:
В глазах её засветилось бесконечное счастье;она поняла,и для неё уже не было сомнения,что он любит, бесконечно любит её, и что настала же,наконец,эта минута ...
5 задание:
Среди предложений найдите сложное, в состав которого входит односоставное безличное предложение. Напишите номер этого предложения
1) Вдруг подле него очутилась Соня.(2) Она подошла едва слышно и села с ним рядом.(3)Было очень рано, и утренний холодок ещё не смягчился.(4) На ней был её бедный,старый бурнус и зелёный платок.(5)Лицо её ещё носило признаки болезни,похудело,побледнело ,осунулось.(6)Она приветливо и радостно улыбнулась ему,но,по обыкновению ,робко протянула ему свою руку.
Предмет: Русский язык, автор: иии25