Предмет: Алгебра,
автор: platonivanov2007
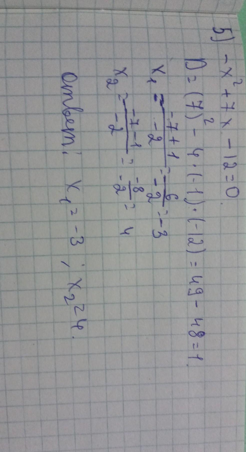
5) -x2 + 7x - 12;
Только 5!
2 не надо
Приложения:
Ответы
Автор ответа:
0
Ответ:
х1=3, x2=4
Решала по т. Виета и по дискриминанту
Приложения:
Автор ответа:
0
Ответ:
вот отв5т
Объяснение:
надеюсь правильно
Приложения:
Похожие вопросы
Предмет: Английский язык,
автор: olyamel87
Предмет: Английский язык,
автор: florakranog
Предмет: Немецкий язык,
автор: dobri94
Предмет: Геометрия,
автор: polinaandreeva5
Предмет: Английский язык,
автор: Nika101235