Предмет: Химия,
автор: ssfwhkaa
Укажіть речовини з йонним зв'язком, складіть схеми їх утворення
1 NaBr 2 F² 3 KCl 4 CCl
Варіанти відповіді:
А) 1,3
Б) 2,4
В) 1,2
Г) 3,4
Ответы
Автор ответа:
0
Ответ:
Объяснение:
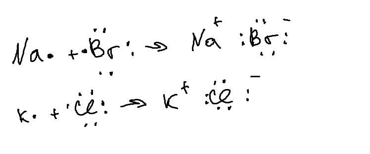
Ионная связь - связь между металлом и неметаллом
NaBr
KCl
А) 1,3
Приложения:
Похожие вопросы
Предмет: Другие предметы,
автор: Аноним
Предмет: Английский язык,
автор: лера0982
Предмет: Русский язык,
автор: yano4ka1999
Предмет: Алгебра,
автор: yanpetrulevitch
Предмет: Математика,
автор: liskalovr