Предмет: Алгебра,
автор: anastyadianowawa
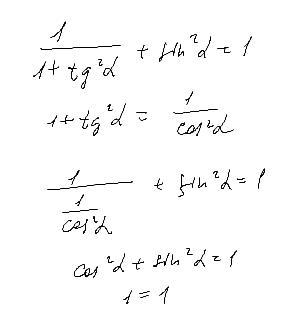
Докажите тождество 1/1+tg2a+Sin2a=1
Приложения:
Ответы
Автор ответа:
1
Ответ:
Объяснение:
основное тригонометрическое тождество
Приложения:
Похожие вопросы
Предмет: Английский язык,
автор: AlinaHowell
Предмет: Английский язык,
автор: ЖомартИ
Предмет: Русский язык,
автор: rifatzhez
Предмет: Английский язык,
автор: Eboshit