Предмет: Алгебра,
автор: valensia0926
виконайте ці обидва приклади пж дуже
срочно дам 20 баллов
Приложения:
Ответы
Автор ответа:
0
Ответ:
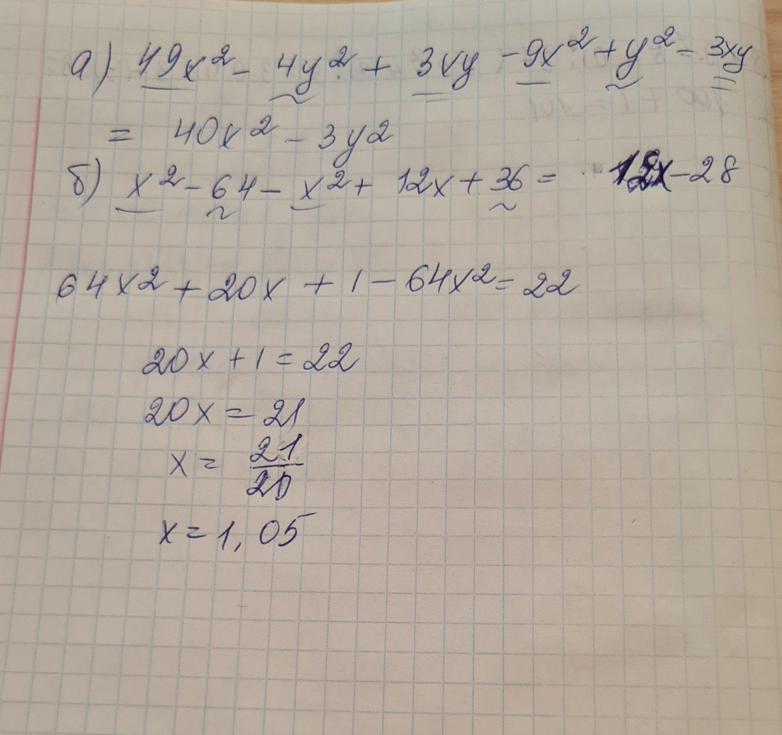
Ответ на фото смотри
Приложения:
Автор ответа:
1
Предоставлены выше ответы соответствуют вашим требованиям.
Приложения:
Похожие вопросы
Предмет: Русский язык,
автор: mira46
Предмет: Русский язык,
автор: aikemai
Предмет: Русский язык,
автор: mikabrats
Предмет: Русский язык,
автор: ruslan5767