Предмет: Математика,
автор: sams71seedrf
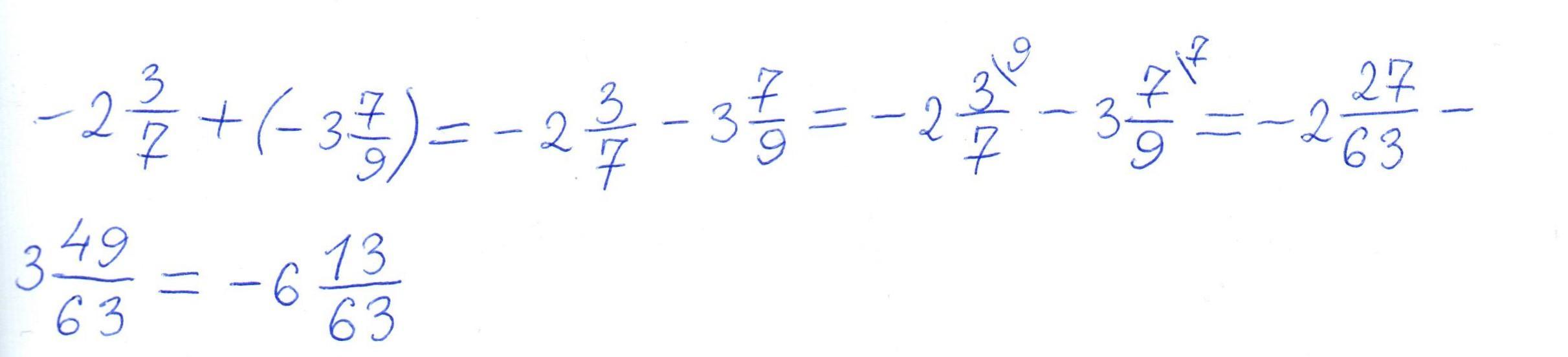
-2 3/7+(-3 7/9)=
Пж срочно нужно ответ 15 балов
Ответы
Автор ответа:
0
Ответ:
-6 13/63
Пошаговое объяснение:
-2 3/7 + (-3 7/9) =
-2 3/7 - 3 7/9 =
(-2 3/7 · 9) - (3 7/9 · 7) =
-2 27/63 - 3 49/63 =
-6 13/63
Вот как это на бумаге:
Приложения:
matilda17562:
Исправьте, время и возможность ещё есть.
пацаны
я там один пример
здедала
зделал
6 3/5×(-5,4)×3 1/3
—————————
7,2×3 3/8×(-4/9)
срочно нужно полный решение дам за это 45 балов
—————————
7,2×3 3/8×(-4/9)
срочно нужно полный решение дам за это 45 балов
можете заделать пж
там се неправильно делает
Автор ответа:
1
Ответ:
- 6 13/63.
Пошаговое объяснение:
-2 3/7 + (-3 7/9) = - (2 3/7 + 3 7/9) =
= - (2 27/63 + 3 49/63) = - 5 76/63 =
= - 6 13/63.
Похожие вопросы
Предмет: Английский язык,
автор: qwrghj
Предмет: Русский язык,
автор: vanay1488
Предмет: Английский язык,
автор: кари5635
Предмет: Алгебра,
автор: marisolomatina70
Предмет: Информатика,
автор: neko58