Предмет: Математика,
автор: Аноним
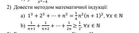
Помогите пожалуйста, очень срочно нужно
Приложения:
Ответы
Автор ответа:
1
Ответ:
Пошаговое объяснение:
Приложения:
Похожие вопросы
Предмет: Русский язык,
автор: yuliyakravchen
Предмет: Русский язык,
автор: yuliyakravchen
Предмет: Русский язык,
автор: Алесяru
Предмет: Алгебра,
автор: sergeistihkov75
Предмет: Алгебра,
автор: lena4939