Предмет: Математика,
автор: Miro200
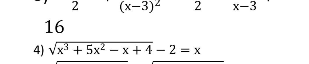
Помогите решить 4 номер за ранее спасибо
25 балов
Приложения:
Ответы
Автор ответа:
1
Ответ:
x1=0,x2=1
Пошаговое объяснение:
корень (X^3+5x^2-x+4)=x-2
возводим в квадрат чтобы избавиться от корня тогда правая часть это формула сокращенного умножения
X^3+5x^2-x+4=x^2+4х+4
X^3+5x^2-x=x^2+4х
переносим все в левую часть и находим подобные
х^3+4х^2-5х=0
можем представить в виде
х(х+5)(х-1)=0
имеем три решения
х=0
х=-5 (если подставим числа в уравнение увидим что
-5 не подходит )
х=1
Ответ х=0,х=1
badswitch:
если понравилось решения лайкни и отметь лучшим ответом чтобы другие увидели
Похожие вопросы
Предмет: Английский язык,
автор: SkitOnline
Предмет: Английский язык,
автор: 12nikita98
Предмет: Русский язык,
автор: 12345775
Предмет: Математика,
автор: dnikonova2069
Предмет: Литература,
автор: Dybrovskyu