Предмет: Математика,
автор: ymoshchenko
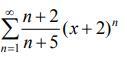
Найти область сходимости степенного ряда
Приложения:
Ответы
Автор ответа:
2
Ответ:
радиус сходимости равен 1
Похожие вопросы
Предмет: Окружающий мир,
автор: кирилл955
Предмет: Английский язык,
автор: вериа
Предмет: Русский язык,
автор: Аноним
Предмет: Алгебра,
автор: tolyakarbon123
Предмет: Математика,
автор: TheAlexMaps