Предмет: Алгебра, автор: dashacat8927

Ух. У меня завтра контроша и я нашла в инете вариант, который завтра как раз таки будет завтра на уроке. Решите, пожалуйста. Я нуб в алгебре..(
Блинб.. Можно закрепить только одну фотку. Ладно, тогда в следующем вопросе закреплю вторую. ​

Приложения:

13Anita13: спасибоо<3

Ответы

Автор ответа: 13Anita13
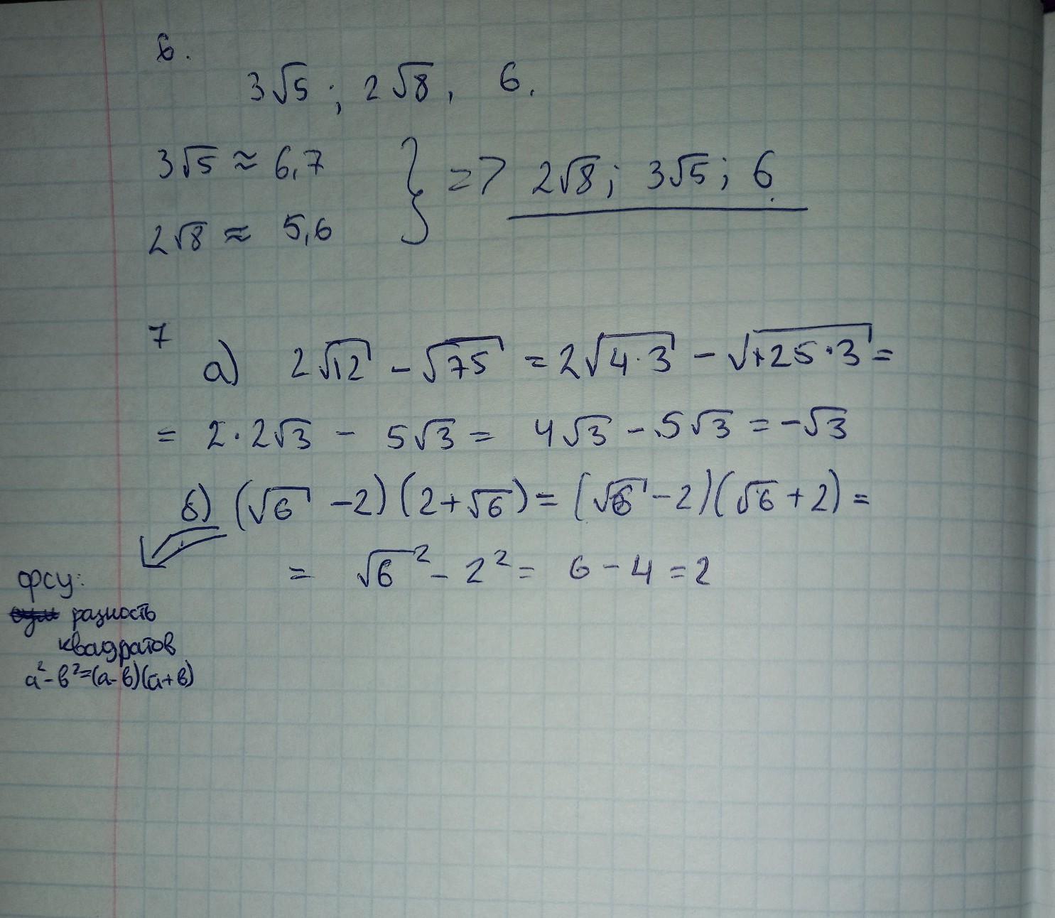
1

Ответ:

ну тут вроде все понятно, можешь поставить отметку лучший ответ пожалуйста

Приложения:

dashacat8927: Омг, ты чудо. Спасибо огромное.
13Anita13: пожалуйста, чуть позже могу решить 2 часть
dashacat8927: Хорошо, буду весьма благодарна. <3
dashacat8927: Ух. Если тебе всё же удастся решить 2 часть, то не решай 7,я уже нашла на него ответ. :')
dashacat8927: Ой, точнее не 7,а 8.
13Anita13: хорошо
13Anita13: если тебя не затруднит, можешь отметить мой ответ как лучший?
dashacat8927: а как это сделать?
dashacat8927: Готово. :з
13Anita13: спасибоо<3
Похожие вопросы
Предмет: Русский язык, автор: фоменко13
Предмет: Английский язык, автор: Аноним
Предмет: Алгебра, автор: звездочк