Предмет: Математика,
автор: sashaegorov400iiiiii
Помогите пожалуйста.
Приложения:
Ответы
Автор ответа:
1
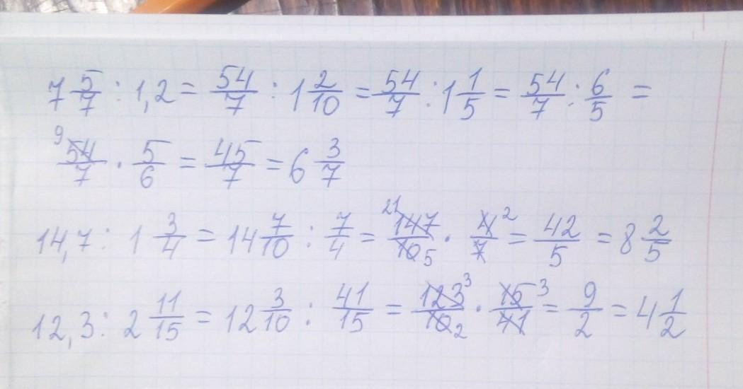
привет ещё раз, вот решение:
1. 7 5/7 : 1,2 = 6 3/7
54/7 : 6/5 = 54/7 * 5/6 = 9/7 * 5 = 45/7 = 6 3/7.
2. 14,7 : 1 3/4 = 8 2/5
147/10 : 7/4 = 147/10 * 4/7 = 21/5 * 2 = 42/5 = 8 2/5.
3. 12,3 : 2 11/15 = 4 1/2
123/10 : 41/15 = 123/10 * 15/41 = 3/2 * 3 = 9/2 = 4 1/2
удачи.
Автор ответа:
1
Пошаговое объяснение:
Вот тебе ответ...........
Приложения:
Похожие вопросы
Предмет: Українська мова,
автор: АлТя
Предмет: Русский язык,
автор: oreooreooreo
Предмет: Українська мова,
автор: mar1na12
Предмет: Алгебра,
автор: LinaNvopost
Предмет: Математика,
автор: Umnitca2018