Предмет: Алгебра,
автор: uf6rd7tdtux7tcty

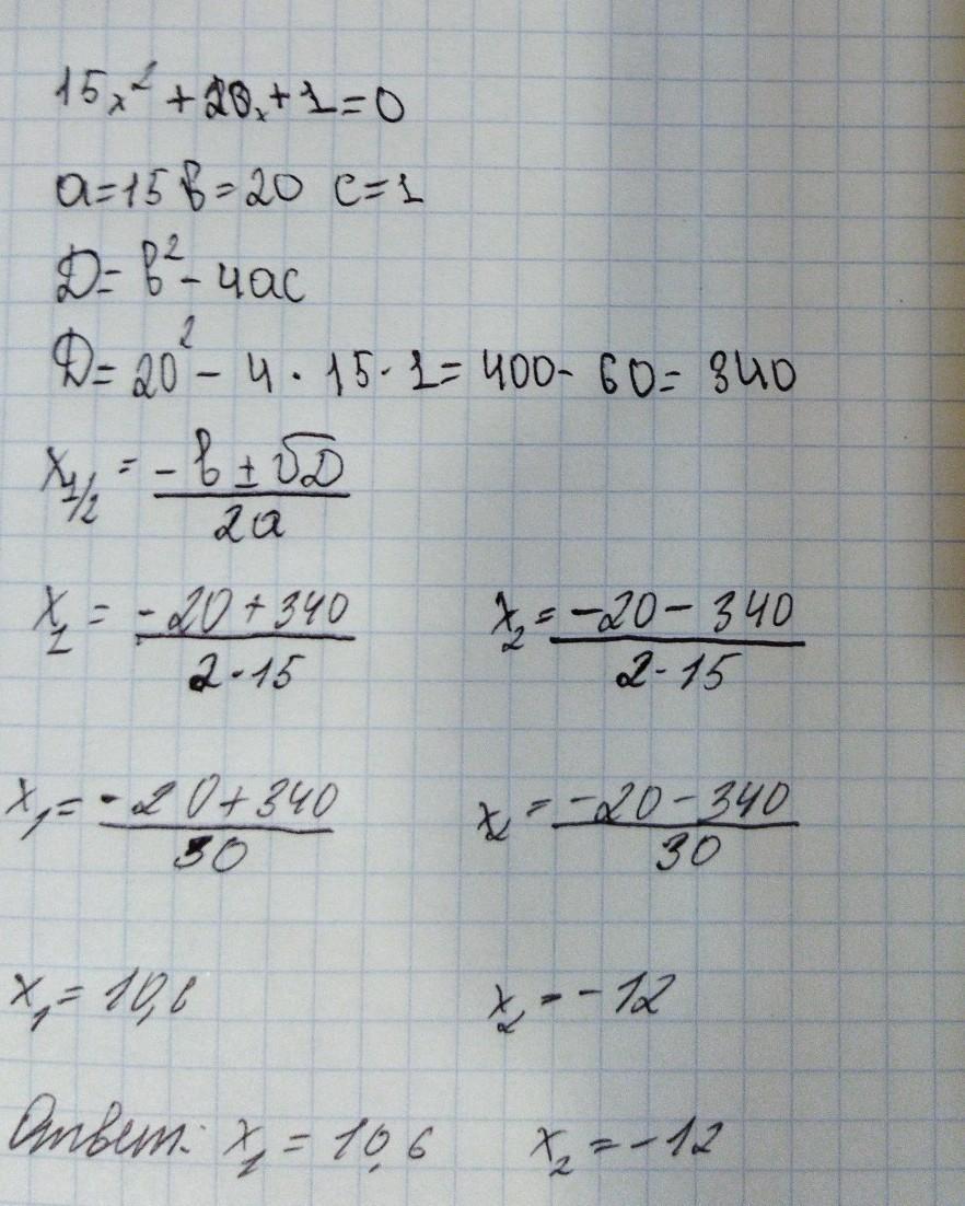
найдите корни через дискриминат
Ответы
Автор ответа:
1
Объяснение:
ответ на фото надеюсь помог если не сложно то можно как лучший ответ
Приложения:
uf6rd7tdtux7tcty:
а это правильно
да
хорошо сейчас учителю отправлю
отправляй
<( ̄︶ ̄)>
все отправил
спасибо мне 10 балов поставили
здравствуйте можете ли Вы мне помочь с Алгеброй пожалуйста
хорошо
Автор ответа:
0
Ответ:
____________________
Приложения:
Похожие вопросы
Предмет: Английский язык,
автор: KAPTOLLIKA13
Предмет: Английский язык,
автор: 88kitty1
Предмет: Английский язык,
автор: moonwalker4
Предмет: Русский язык,
автор: BatyaVzdanie