Предмет: Алгебра,
автор: kamila8489
пожалуйста спишите это очень надо, только письменно, полностью!
Приложения:
Ответы
Автор ответа:
1
Ответ:
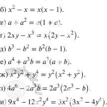
b) x² - x = x(x-1)
v) a + a²= a(1+a)
g)2xy-x³ = x(2y-x²)
d)b³-b² = b²(b-1)
e)a⁴+a³b = a³(a+b)
zh)x²y²+y⁴= y²(x²+y²)
z)4a⁶-2a³b= 2a³(2a³-b)
i)9x⁴-12x²y⁴= 3x²(3x²-4y⁴)
лень было переключаться на русскую Клаву поэтому так)
kamila8489:
спасибооооо
Похожие вопросы
Предмет: Английский язык,
автор: MaLuTa446
Предмет: Английский язык,
автор: kellerwoman
Предмет: Русский язык,
автор: NatusaNatali
Предмет: Химия,
автор: teodorsemenov