Предмет: Математика,
автор: zhenyapermyakova7
помогите пожалуйста
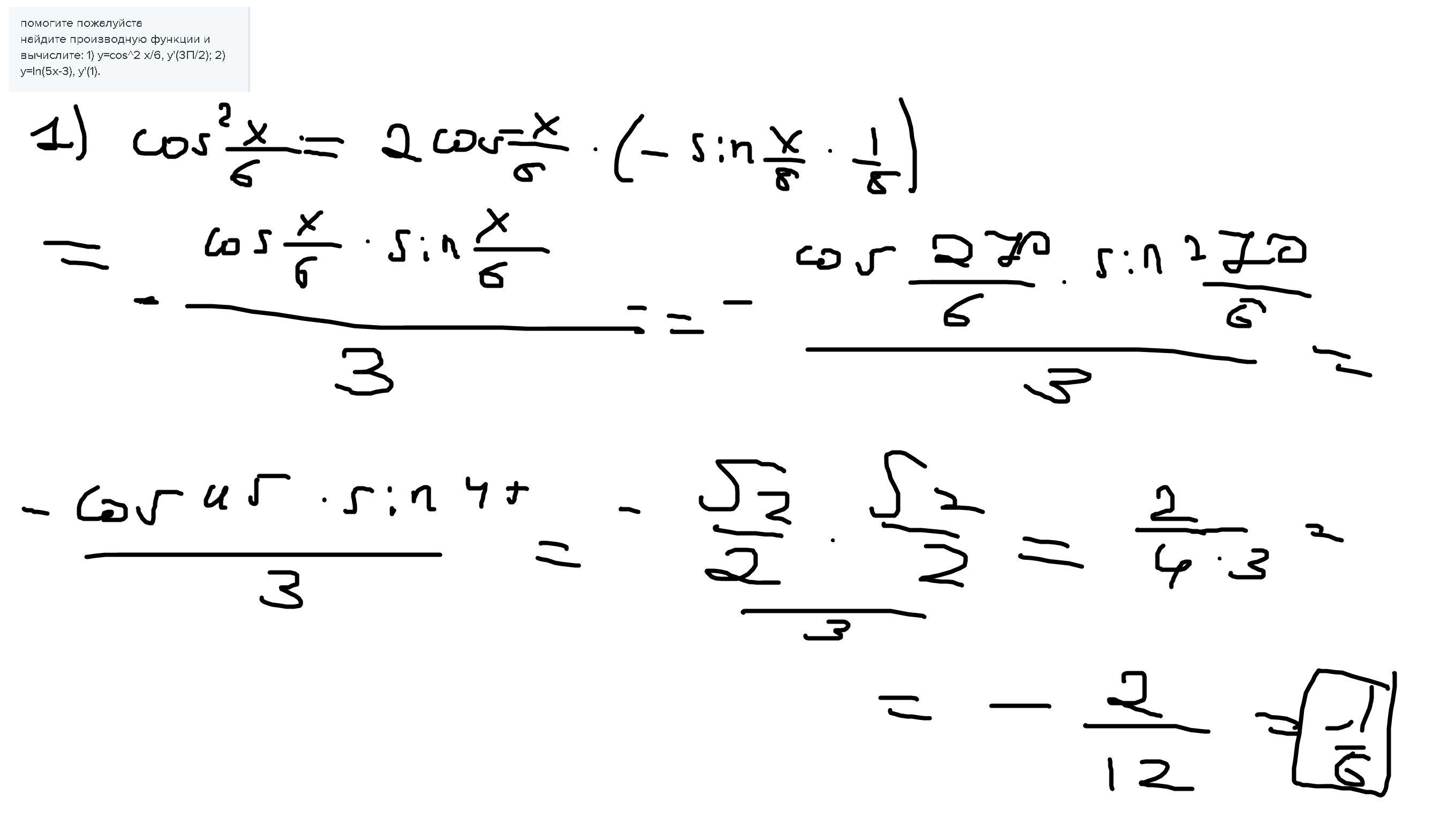
найдите производную функции и вычислите: 1) y=cos^2 x/6, y'(3Π/2); 2) y=In(5x-3), y'(1).
Ответы
Автор ответа:
2
Ответ:
ответы ниже и решение
Пошаговое объяснение:
Приложения:
zhenyapermyakova7:
спасибо большое☺️
не за что
слушай, это, а как тут почерк разобрать(на 1 фотке)
спасибо большое
Похожие вопросы
Предмет: Английский язык,
автор: Аноним
Предмет: Английский язык,
автор: DimanWorlds
Предмет: Қазақ тiлi,
автор: Ѯǻĵҹøŋøk
Предмет: Литература,
автор: daniilzeus38
Предмет: Математика,
автор: tatyanaelmina