Предмет: Математика,
автор: Аняff
помогите найти площадь
Приложения:
Ответы
Автор ответа:
1
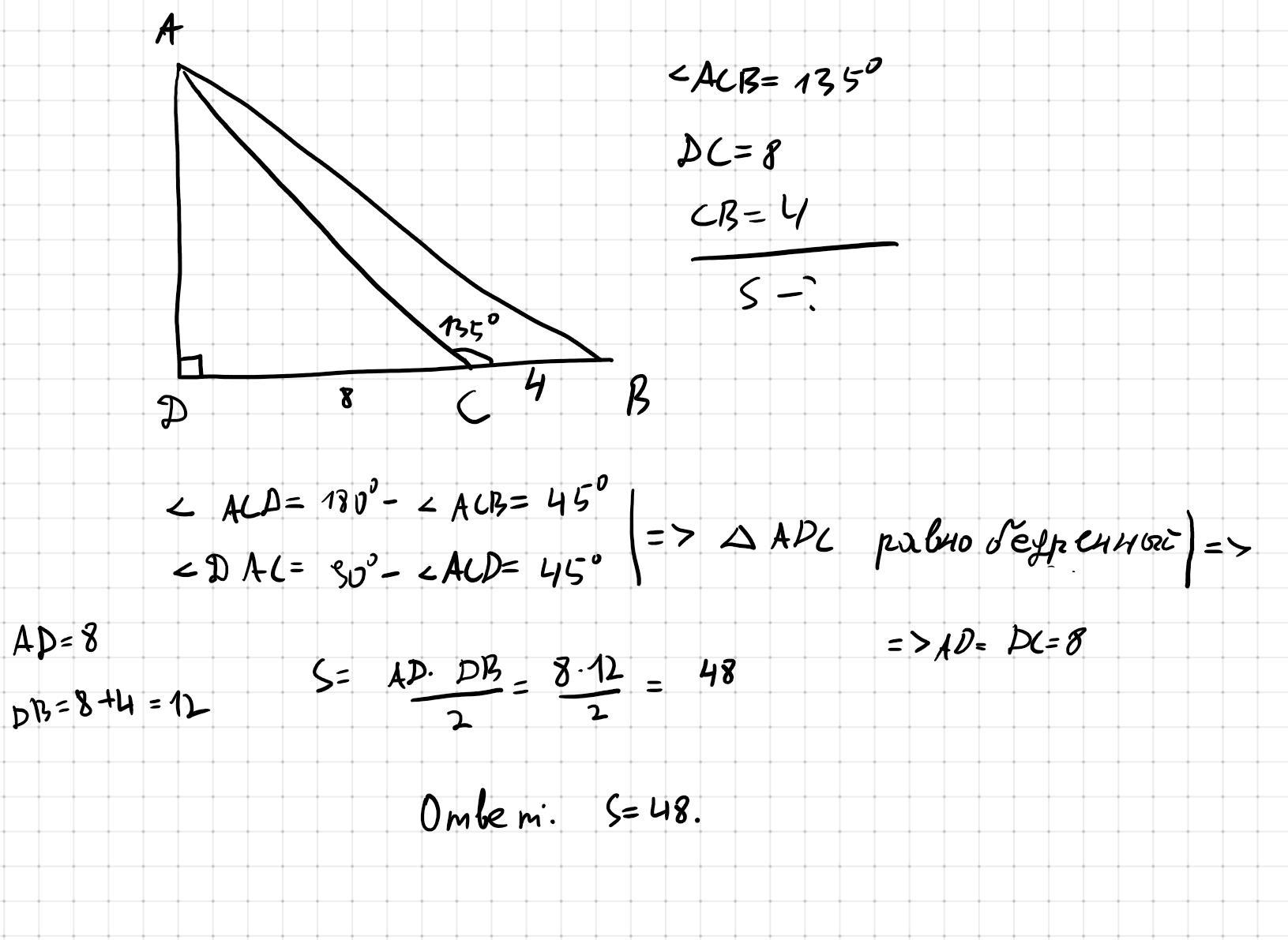
Ответ:
48 ед²
Решение:
Так как ∠DCF и∠ВСА- смежные, соответственно
∠DCF +∠ВСА=180°
∠DCF =180°- ∠ВСА=180°-135°=45°
Рассмотрим ΔАDС, где ∠D=90°,∠С=45° и катет DС=8
По теореме о сумме острых углов прямоугольного треугольника
∠А+∠С=90°
∠А=90°-∠С=90°-45°=45°.
Так ка ∠С=∠А, значит ΔАDС- равнобедренный и DА=DС=8.
Рассмотрим ΔАDВ, ∠D=90°, DА=8, а DВ=DС+СВ=8+4=12.
(Площадь прямоугольного треугольника равна половине произведений его катетов)
(ед²)
okaymanitsjs:
угол не DCF, а DCA *
Автор ответа:
1
Ответ: 48
Пошаговое объяснение: Смотри рисунок
Приложения:
Похожие вопросы
Предмет: Қазақ тiлi,
автор: marina20006
Предмет: Другие предметы,
автор: 1angelinka2017
Предмет: Русский язык,
автор: Aimirka
Предмет: Русский язык,
автор: said493
Предмет: Математика,
автор: sofia25866