Предмет: Математика,
автор: erden228666
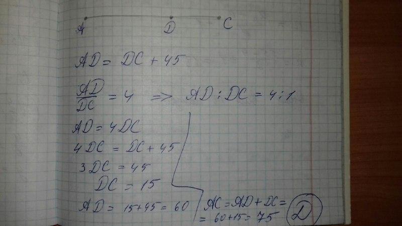
8. Точка D разделила отрезок АС так, что отрезок AD на 45 см длиннее отрезка DC. Чему равна длина отрезка AC, если DC в 4 раза короче отрезка AD? А) 60 см B) 15 CM C) 70 см D) 75 см
Ответы
Автор ответа:
0
Ответ:
D) 75 см
Пошаговое объяснение:
Приложения:
Похожие вопросы
Предмет: Русский язык,
автор: Dobro666
Предмет: Русский язык,
автор: алина2268
Предмет: Русский язык,
автор: victor2001rus
Предмет: Английский язык,
автор: zharas155
Предмет: Русский язык,
автор: умка5551