Предмет: Математика,
автор: abujnov440
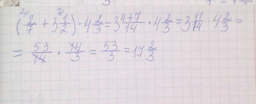
511 Найдите значение выражений:1)(2/7+3целых 1/2)*4 целых 2/3
Ответы
Автор ответа:
5
Пошаговое объяснение:
Держи свой ответ.........
Приложения:
Похожие вопросы
Предмет: Другие предметы,
автор: маронишка
Предмет: Английский язык,
автор: CarolineForbes1215
Предмет: Русский язык,
автор: Yana1911
Предмет: Физика,
автор: ilonaponchik
Предмет: Математика,
автор: aleksandraloyvkina