Предмет: Геометрия,
автор: jvfryhbhjjj
помогитеееееее пожалуйста
Приложения:
Ответы
Автор ответа:
0
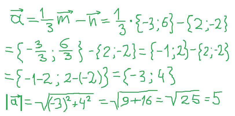
Координаты вектора а = {-3 ; 4} (точнее говорить компоненты, ведь координаты относятся к точкам, но ладно), длина вектора а: |a| = 5
Приложения:
Похожие вопросы
Предмет: Русский язык,
автор: azizdjonazizdjon
Предмет: Беларуская мова,
автор: rakushka2006
Предмет: Русский язык,
автор: Аноним
Предмет: Окружающий мир,
автор: 12341234447