Предмет: Алгебра,
автор: MashkaBykashks
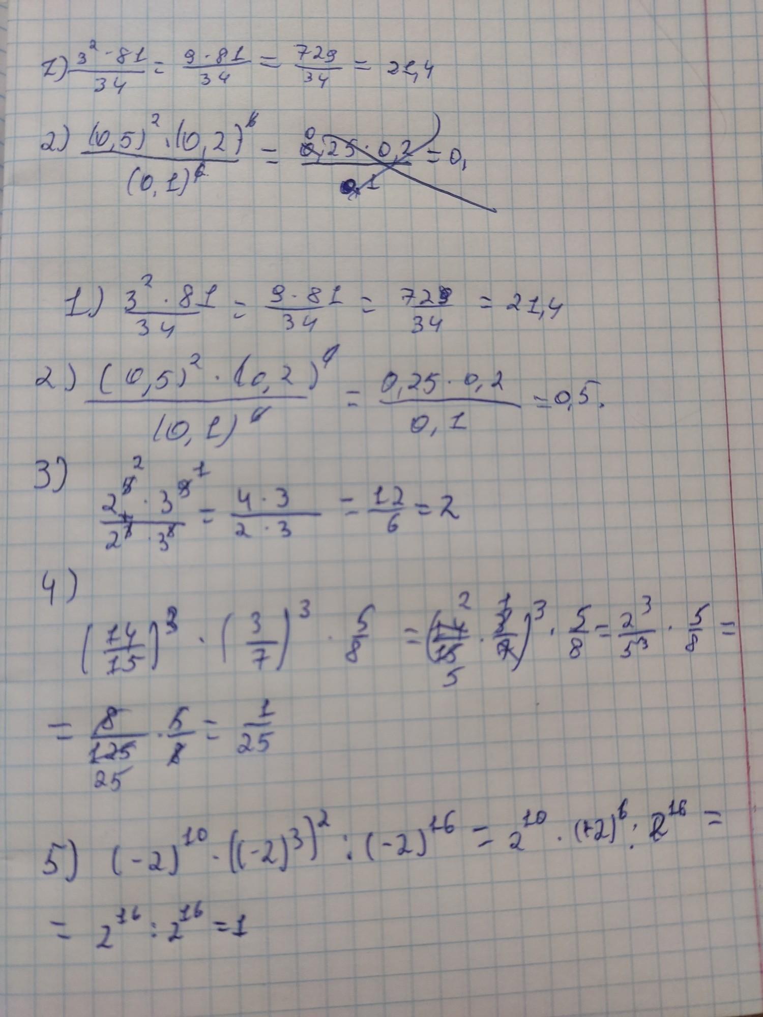
Вычислить желательно на листочке. И прикрепить фото)
Приложения:
Ответы
Автор ответа:
1
Ответ:
ну вообще-то вот 100% без ошибок
Приложения:
Похожие вопросы
Предмет: Русский язык,
автор: didikovskiy
Предмет: Русский язык,
автор: дианчик02
Предмет: Русский язык,
автор: misisbulatowa
Предмет: Математика,
автор: bogdantertishnikbek
Предмет: Математика,
автор: lovewerbinina