Предмет: Алгебра,
автор: kristinaar4526
Рэш алгебра 8 класс 22 урок
Приложения:
Ответы
Автор ответа:
1
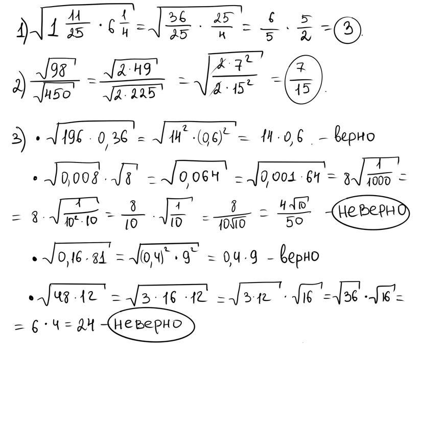
Решение представлено на фото
Приложения:
Похожие вопросы
Предмет: Русский язык,
автор: спуш
Предмет: Русский язык,
автор: Aleks2289
Предмет: Қазақ тiлi,
автор: данашагирова
Предмет: Русский язык,
автор: detka04
Предмет: Геометрия,
автор: oliy3