Предмет: Алгебра, автор: lovidihanyemoe

Алгебра 11 логарифмы срочно

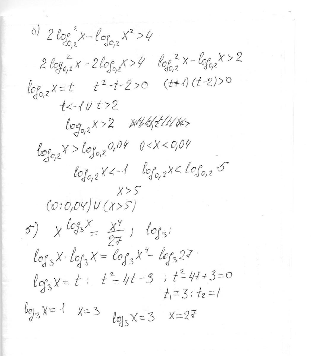
Приложения:

Ответы

Автор ответа: Опыт
0
добавил решение в файл
Приложения:
Похожие вопросы
Предмет: Русский язык, автор: bear3by
1. И если тебе(1) мой читатель(2) посчастливится побывать когда-нибудь в Кавказском
заповеднике(3) и пройти по тропе(4) у которой(5) стоит такой обелиск(6) низко поклонись
памяти защитников нашей Родины (7) отдавших свои жизни за то (8) чтобы сегодня мы
жили в мире.
2. За 75 лет(1) прошедших после гибели парохода «Челюскин»(2) и спасения всех
(3)оказавшихся на льду людей(4) в печати появились десятки статей(5) легенд(6)
фантастических и псевдонаучных публикаций(7) посв.щенных подготовке и ходу
выполнения этого необычного (8)по тем временам рейса.
3. В раскопках под Новгородом(1) которые велись в продолжени.  десяти лет(2) были
найдены сверх(и,ы)нтересные(3) берестяные грамоты(4) свидетельствующие о том(5) что
восточные славяне обладали сравнительно высоким уровнем письма(6) подтверждая тем
самым факт(7) что Русь была страной(8) высокой и прекрасной письменной культуры.
Списать. Расставить пропущенные буквы и знаки. Выделить грамматические основы,
обстоятельства. Выписать словосочетания с различными видами связи(3)