Предмет: Математика,
автор: milanastepanova859
5 и 6 задания, заранее благодарю, даю 50 баллов
Приложения:
Ответы
Автор ответа:
1
Ответ:
5. – 62°
Пошаговое объяснение:
180-110=70
180-132=48
180-(70+48)=62
пятое решила, 6 не могу решить, уровень моих знаний не доходит до этого
romanyukdarya2008:
надеюсь хоть чем-то помогла
спасибо:) шестое тоже надо обязательно, ладно, ещё раз спрошу
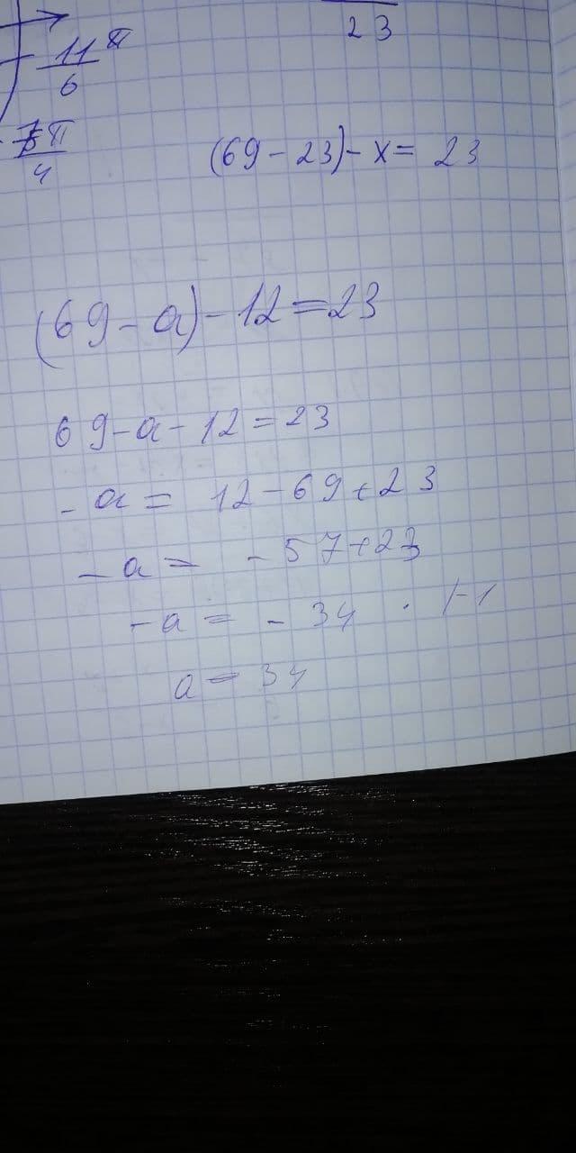
Автор ответа:
1
Ответ:
Ответ под 6. это 34, проверка сделана
под 5. 12
Приложения:
Похожие вопросы
Предмет: Английский язык,
автор: ann524798
Предмет: Қазақ тiлi,
автор: Kamila6B
Предмет: Английский язык,
автор: кузя136
Предмет: Математика,
автор: asti75
Предмет: История,
автор: 175442