Предмет: Алгебра,
автор: popownicita
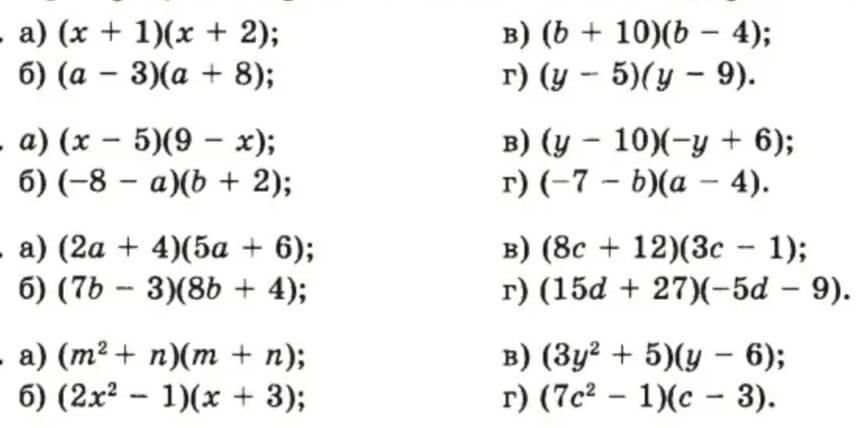
ОЧЕНЬ СРОЧНО Выполните умножение
Приложения:
Ответы
Автор ответа:
1
Объяснение:
а) х²+3х+2
б) а²+5а-24
а)-х²+14х-45
б)-8a-16-ab-2b
а)m³+m²n+mn+n²
б)2х³+6х²-х-3
в)b²+6b-40
г)у²-14у+45
в)-у²+16-60
г)-7а+28-аb+4b
в)24с²+28с-12
г)-75d²-270d-243
в)3у³-18у²+5у-30
г) 7с³-21с²-с+3
Похожие вопросы
Предмет: Русский язык,
автор: Аноним
Предмет: Русский язык,
автор: Ulyana5557
Предмет: Русский язык,
автор: Linda51
Предмет: Математика,
автор: Аноним