Предмет: Математика,
автор: Ilona155875886
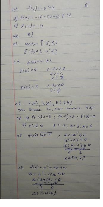
Очень срочно!!! Математика, алгебра.
Приложения:
Ответы
Автор ответа:
1
Ответ:
кроме 8 и 10
Пошаговое объяснение:
Приложения:
Похожие вопросы
Предмет: Русский язык,
автор: Аноним
Предмет: Русский язык,
автор: наташа786
Предмет: Русский язык,
автор: ммм40
Предмет: Английский язык,
автор: марттт
Предмет: Қазақ тiлi,
автор: ААпельсин228