Предмет: Математика,
автор: millietush
100 БАЛЛОВ! ПОМОГИТЕ С МАТЕМАТИКОЙ!!!!!!!
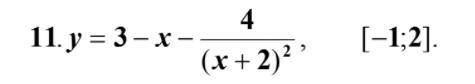
Найти наибольшее и наименьшее значение функции
на заданных отрезках.
Приложения:
Ответы
Автор ответа:
1
Ответ:
наибольшее в точке х=2 у=3\4; наименшее в х=-1 у=0
Пошаговое объяснение:
Приложения:
Похожие вопросы
Предмет: Русский язык,
автор: oksoksi2012
Предмет: Русский язык,
автор: 33456774
Предмет: Русский язык,
автор: daryatsykalova
Предмет: Математика,
автор: assassinermak2004
Предмет: Қазақ тiлi,
автор: 12345678795