Предмет: Алгебра,
автор: live4521
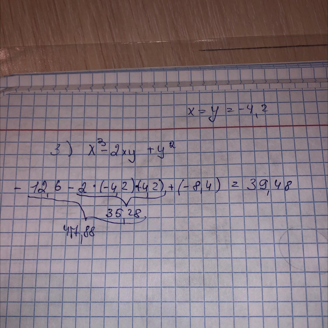
помогите решить пожалуйста, 3
Приложения:
Ответы
Автор ответа:
0
Вот держи, решила это точно правильно
Приложения:
Похожие вопросы
Предмет: Английский язык,
автор: katy87
Предмет: Английский язык,
автор: вероника497
Предмет: Українська література,
автор: anyuta1909
Предмет: Физика,
автор: darinkapufpuf