Предмет: Алгебра,
автор: foxoom34
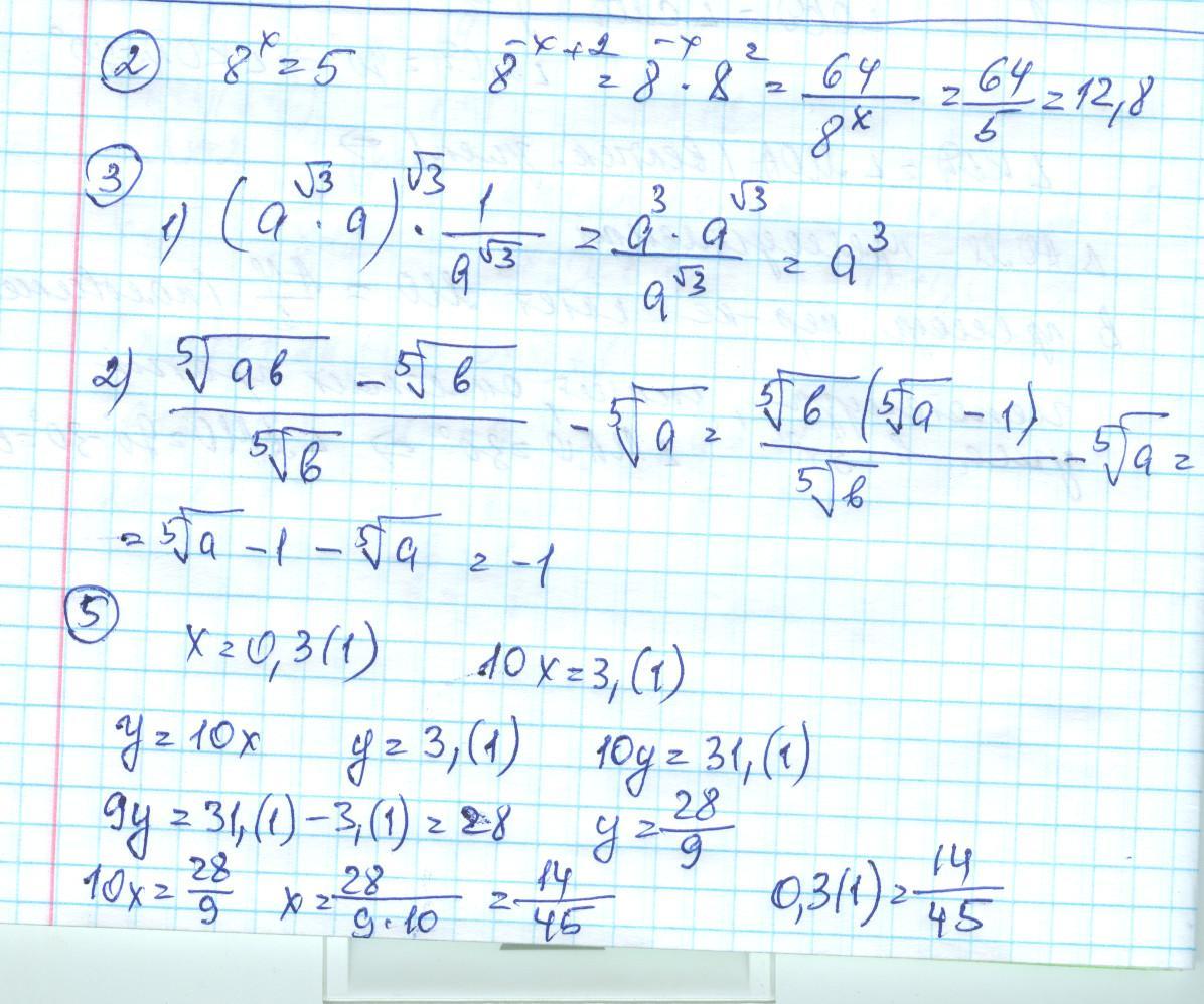
Срочно нужны решения этих трёх заданий.
Приложения:
Ответы
Автор ответа:
1
Ответ:
Объяснение:
решение
Приложения:
Похожие вопросы
Предмет: Окружающий мир,
автор: Аиша2907
Предмет: Английский язык,
автор: MickeyMouse3
Предмет: Русский язык,
автор: алина2232
Предмет: Геометрия,
автор: Munit21
Предмет: Математика,
автор: elena280886