Предмет: Алгебра,
автор: tkacevanasta954
Помогите пожалуйста,на завтра надо срочно
Приложения:
Ответы
Автор ответа:
1
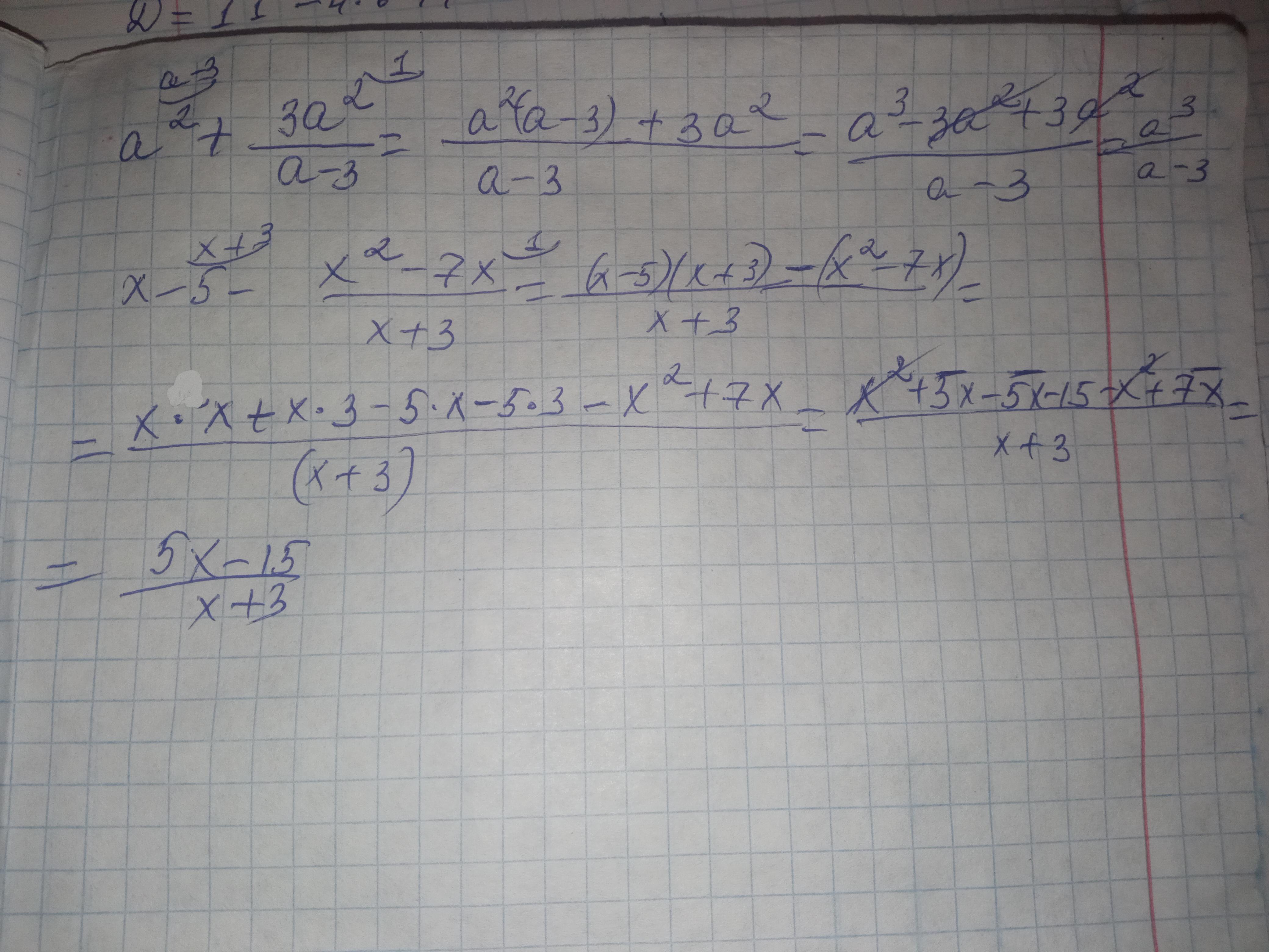
Ответ:
Ответ
Объяснение:
Приложения:
tkacevanasta954:
Спасибо)
Похожие вопросы
Предмет: Русский язык,
автор: Ксю1211111
Предмет: Русский язык,
автор: skvidvardrus
Предмет: Русский язык,
автор: руст12
Предмет: Русский язык,
автор: zhanym777
Предмет: Русский язык,
автор: Ainisa25