Предмет: Алгебра,
автор: yonaeffie
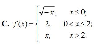
Задана функция
y= f (x). Найти точки разрыва функции, если они
существуют. Сделать чертеж.
Приложения:
Ответы
Автор ответа:
1
Ответ:
Объяснение:
вычислим односторонние пределы в точке х=0
lim√-x=0
x->0-
lim2=2
x->0+
в точке х=0 односторонние пределы неравны ⇒ в этой точке разрыв типа конечный скачок
Приложения:
yonaeffie:
Спасибо большое
Похожие вопросы
Предмет: Окружающий мир,
автор: EmreGamerBoy
Предмет: Английский язык,
автор: АНЕЛИЯ111111155
Предмет: Английский язык,
автор: Fifalove
Предмет: Русский язык,
автор: хорошист650
Предмет: Английский язык,
автор: valeria20070910