Предмет: Алгебра, автор: islammm00524

ПОЖАЛУЙСТА МЕНЯ ОТЕЦ ЩЯС УБЬЕТ ПОМОГИТЕ



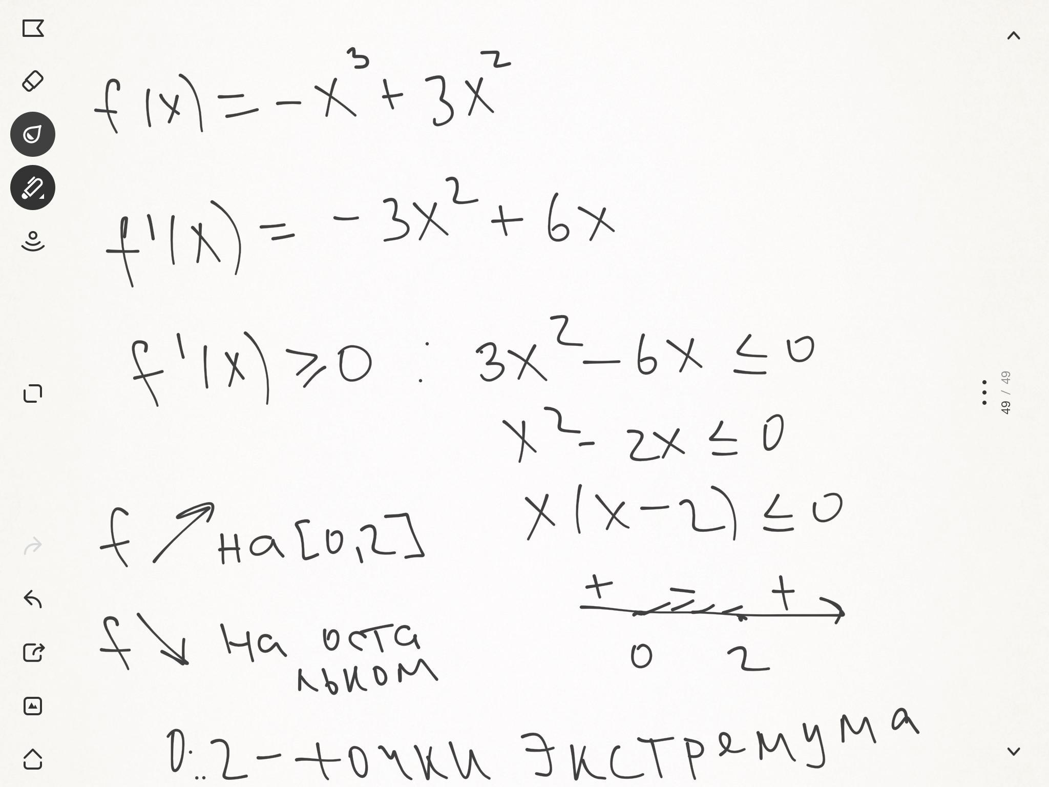
исследовать функцию на монотонность и экстремумы f(x)=-x³+3x² ​


islammm00524: пж
islammm00524: помгите
islammm00524: я дам все свои
islammm00524: только помогите
islammm00524: спасибо большое
islammm00524: брат
islammm00524: а внизу где 0 и 2 там точки?

Ответы

Автор ответа: Аноним
1

Ответ:

На фото

Объяснение:

Приложения:

islammm00524: а где 0 и 2 там точки?
islammm00524: внизу
Похожие вопросы
Предмет: Английский язык, автор: 951753456321987
Предмет: Окружающий мир, автор: Анна51611
Предмет: Русский язык, автор: MRJACK111