Предмет: Математика,
автор: Zotovavlada131
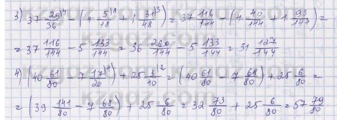
44 17 494. Найдите значения выражений: 25 1) 59 64 -(32 3 +4 16 64 ) ; 2) -184 + 20.5 - 45 5 31 29 36 -- +1 3) 37 18 48 4) 4061 -7 717 20 80 +253 40
Ответы
Автор ответа:
0
Пошаговое объяснение:
думаю что помогла удачи
Приложения:
Похожие вопросы
Предмет: Русский язык,
автор: stakhvitya
Предмет: Русский язык,
автор: Аноним
Предмет: Английский язык,
автор: ThePuppy
Предмет: Русский язык,
автор: merkulovaannet
Предмет: Алгебра,
автор: danilsmernyyagin