Предмет: Математика,
автор: kasyanenkoroman228
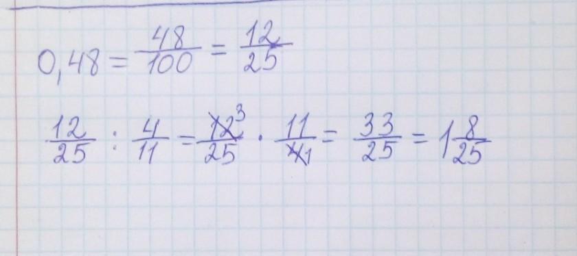
2. Перетвори десятковий дріб у звичайний, а потім обчис-
ли 0,48:4/11
Срочно, умоляю!
Ответы
Автор ответа:
0
Пошаговое объяснение:
Держи свой ответ........
Приложения:
Похожие вопросы
Предмет: Окружающий мир,
автор: Настёна20016
Предмет: Английский язык,
автор: Rauf123
Предмет: Русский язык,
автор: Йохами
Предмет: Алгебра,
автор: эдифер
Предмет: История,
автор: DaNsHp28