Предмет: Алгебра,
автор: gsaydalievaq9
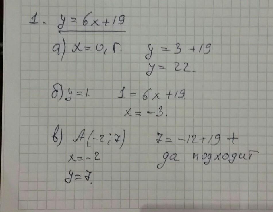
1. Функция задана формулой у= 6х + 19. Определите:
а) значение у, если х = 0,5;
б) значение х, при котором у= 1;
в) проходит ли график функции через точку А (-2; 7).
а) поо
Пожалуйста помогитеееееее
Ответы
Автор ответа:
0
ладададщаащвщащащащащащ
Приложения:
Похожие вопросы
Предмет: Другие предметы,
автор: DashaKvasnova
Предмет: Русский язык,
автор: айс32
Предмет: Русский язык,
автор: sorryshift
Предмет: Химия,
автор: mskofuku
Предмет: Литература,
автор: lizazubenko00