Предмет: Алгебра,
автор: Ermaka
Помогите или просто подскажите как решить)
Приложения:
Ответы
Автор ответа:
0
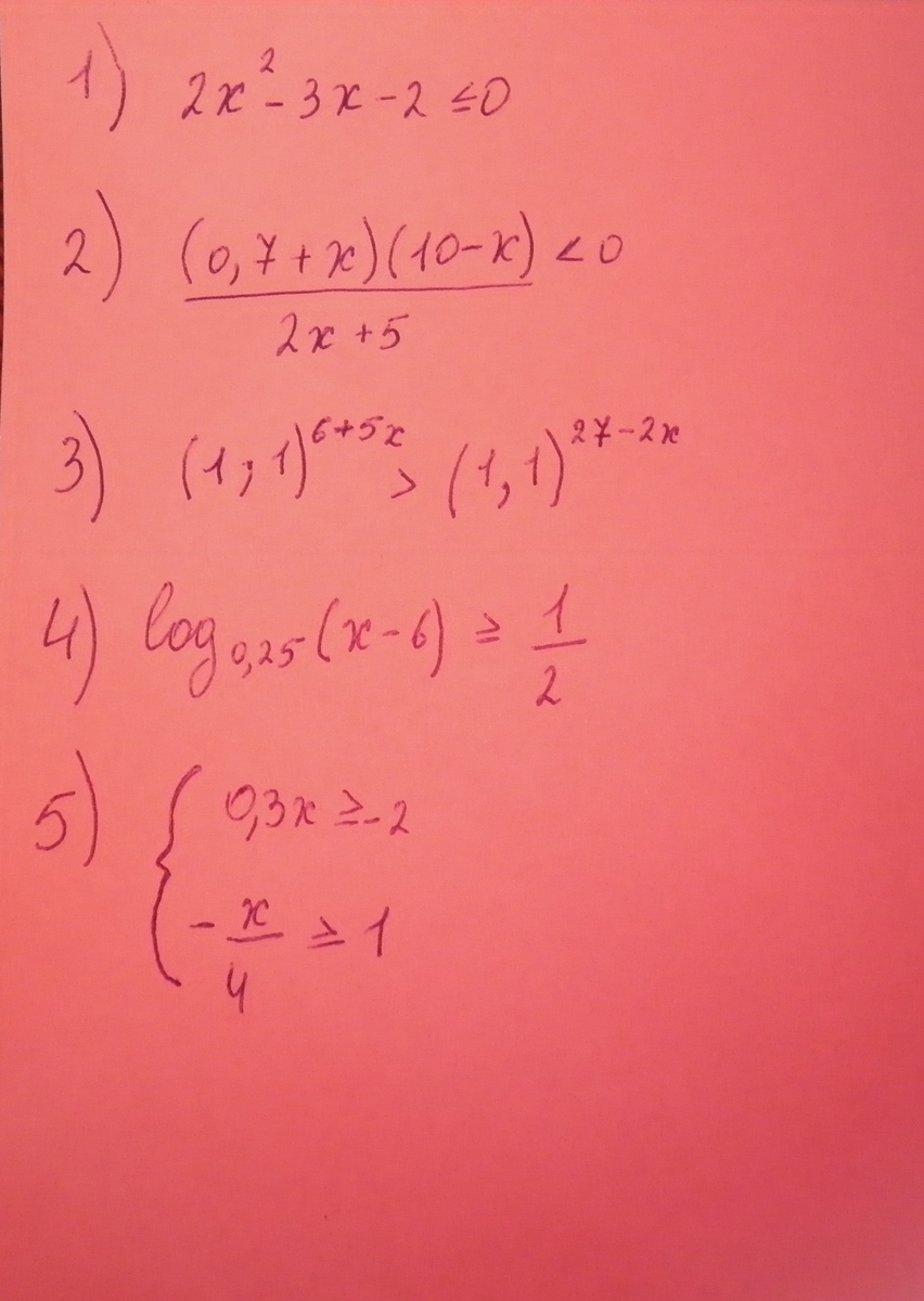
1) приравниваешь квадратный трехчлен к нулю и находишь корни дискриминантом.
Отмечаешь корни на числовой оси и находишь знаки слева, справа и посередине корней, ответ будет область меншее или равная нулю.
2)Приравниеваешь дробь к нулю, находишь ОДЗ приравняв знаменатель к нулю.
Далее приравниваешь числитель к нулю и раскравешь скобки, получится квадратное уравнение, находим корни и отбрасваем те которые не попали в ОДЗ, если таковые есть, а дальше снова отмечаем корни на числовой оси и находим знаки и отвечаем на вопрос.
3)Основание степеней одинаковы, значит их отбрасываем и работаем сос степенями, там линейное уровнение, получится один корен, он и ответ.
4)1/2 представляешь в виде логарифма с основанием 0.25 дальше работаешь без логарифмов а с их числами, как те же неравенства, что были выше, (вспомни свойства лагорифмов, как число представить в виде логарифма с любым основанием)
5) Вместо знаков >= ставишь = и решаешь простейшую систему, после чего переходишь к тем знакам и отмечаешь на осях.
Отмечаешь корни на числовой оси и находишь знаки слева, справа и посередине корней, ответ будет область меншее или равная нулю.
2)Приравниеваешь дробь к нулю, находишь ОДЗ приравняв знаменатель к нулю.
Далее приравниваешь числитель к нулю и раскравешь скобки, получится квадратное уравнение, находим корни и отбрасваем те которые не попали в ОДЗ, если таковые есть, а дальше снова отмечаем корни на числовой оси и находим знаки и отвечаем на вопрос.
3)Основание степеней одинаковы, значит их отбрасываем и работаем сос степенями, там линейное уровнение, получится один корен, он и ответ.
4)1/2 представляешь в виде логарифма с основанием 0.25 дальше работаешь без логарифмов а с их числами, как те же неравенства, что были выше, (вспомни свойства лагорифмов, как число представить в виде логарифма с любым основанием)
5) Вместо знаков >= ставишь = и решаешь простейшую систему, после чего переходишь к тем знакам и отмечаешь на осях.
Похожие вопросы