Предмет: Алгебра,
автор: omirgazievamirzhan
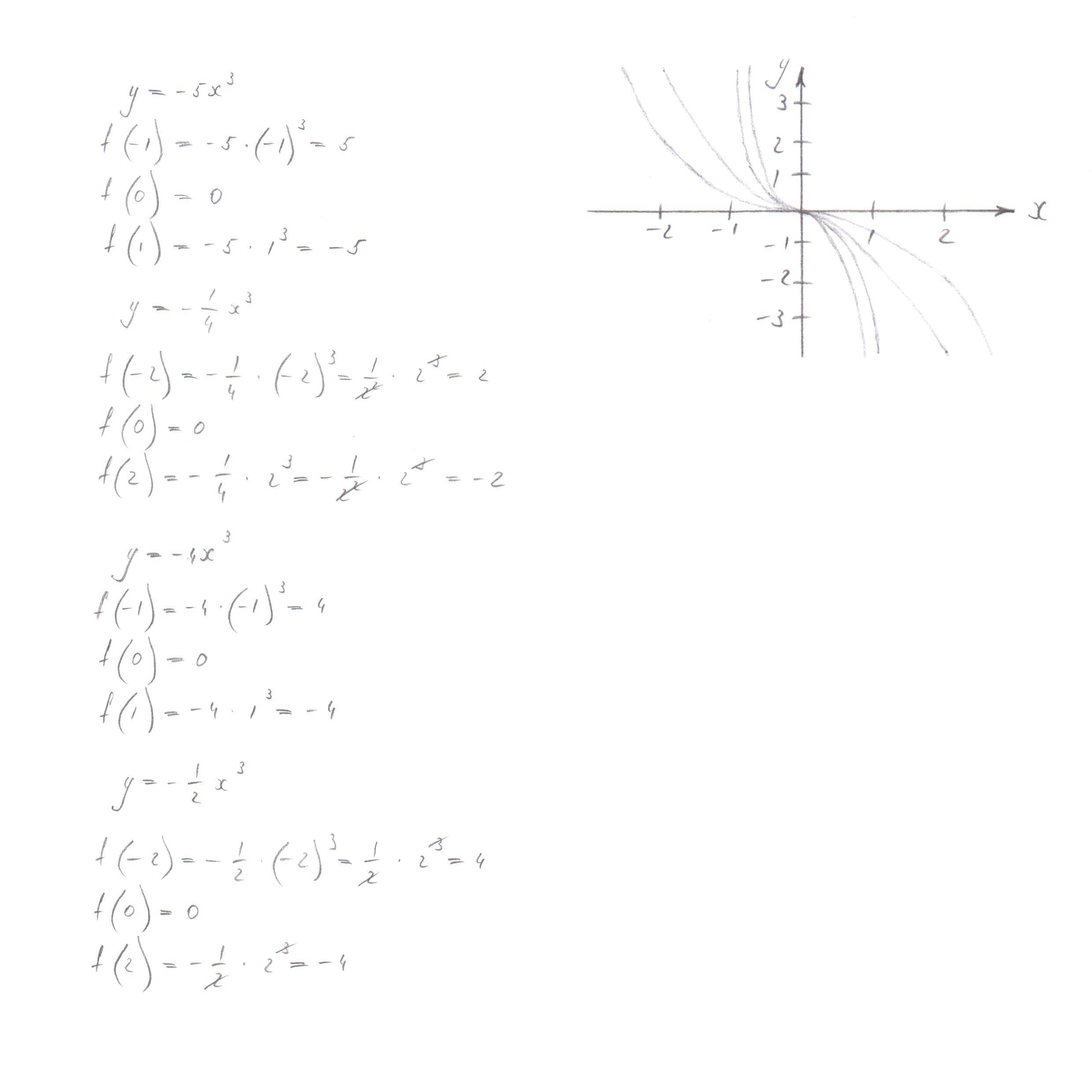
. Постройте в одной координатной плоскости графики функций: 1) у = х^3, y = 5х^3, y = 1/4x^3 y = 4x^3; 2) у = -5х^3, y=-1/4x^3;у = -4х^3; y = - 1/2x^3
Ответы
Автор ответа:
2
Ответ: подробное решение на фото.
Приложения:
daraunadar:
можно таблицу y=1/4x³
то есть на у=- 1/4х3
Похожие вопросы
Предмет: Русский язык,
автор: narik12324
Предмет: Английский язык,
автор: Pasha479
Предмет: Русский язык,
автор: диди10
Предмет: Русский язык,
автор: Совёнок5Лена
Предмет: Английский язык,
автор: shama58