Предмет: Геометрия,
автор: akimkaplanshet
помогите прошу очень срочно
Приложения:
Ответы
Автор ответа:
0
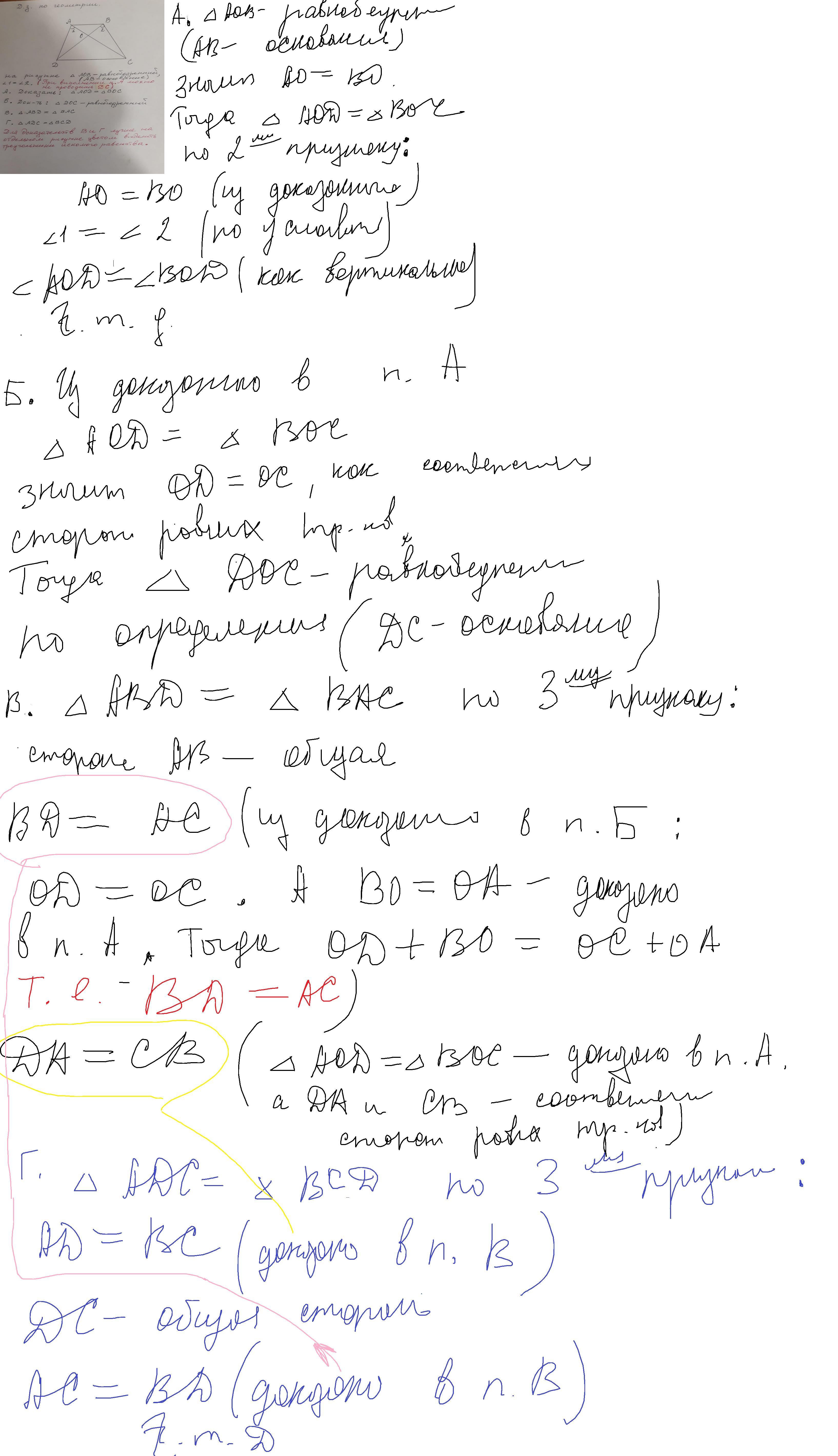
Ответ:
Объяснение:Задание
Приложения:
Похожие вопросы
Предмет: Қазақ тiлi,
автор: tuleugali00
Предмет: Русский язык,
автор: Даша56871
Предмет: Русский язык,
автор: uzympygka
Предмет: Математика,
автор: Бомж135
Предмет: Русский язык,
автор: alexseinechaev