Предмет: Математика, автор: samsampompom

помогите пожалуйста, пример с дробями!! ​

Приложения:

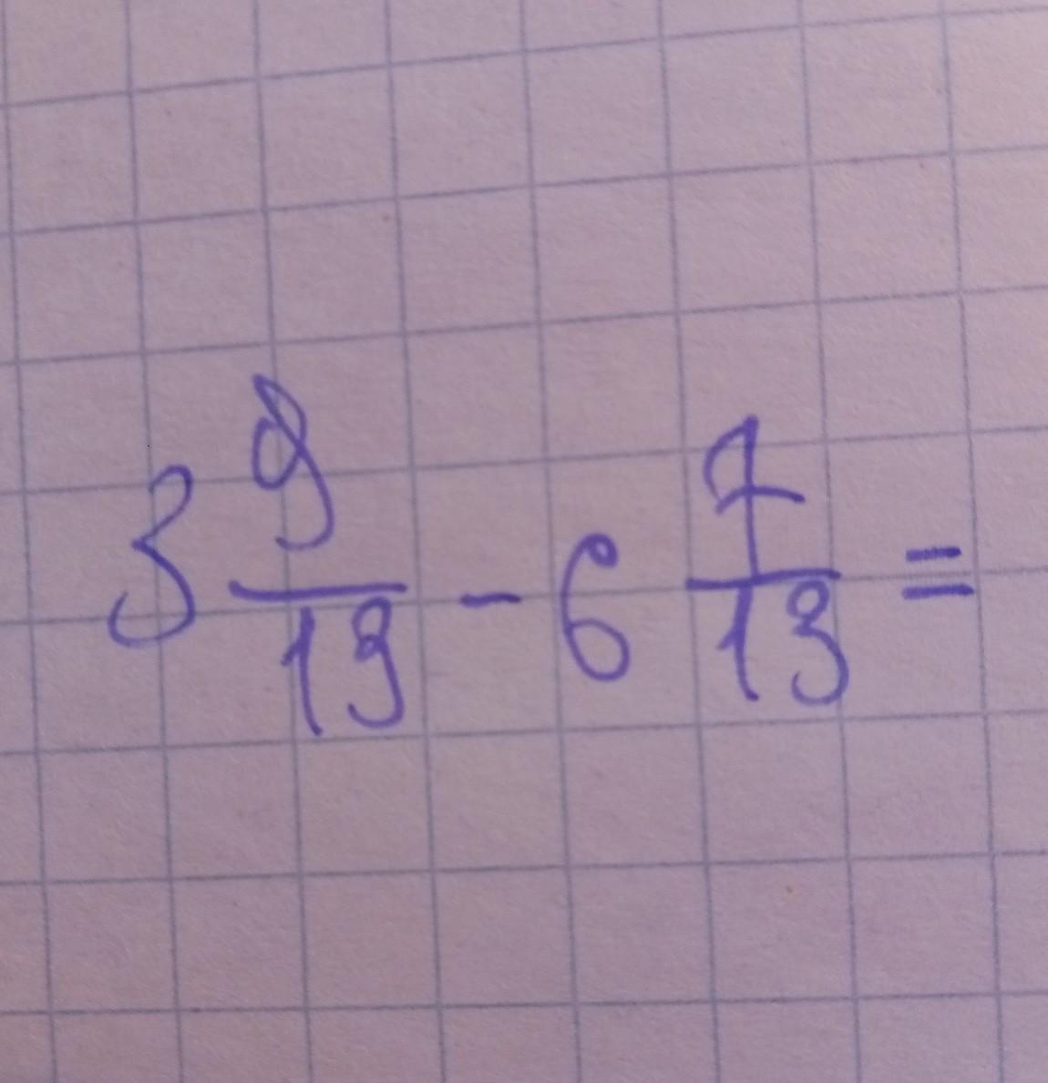
Hellllllllllllll: Там написанно : 3 цілих 9/13 - 6цілих 7/13= ?, я верно тепер поняла?, если не удалят этот мой ответ, я исправлю
marinaolesova0: Что значит 3 и 6?
Hellllllllllllll: 3 целых и 6 целых
Hellllllllllllll: Тепер будет - 2 целых 11/13
Hellllllllllllll: Можно заново лутший ответ? Пожалуйста

Ответы

Автор ответа: Hellllllllllllll
0

Відповідь:

-2цілих 11/13

Покрокове пояснення:

На фото

Приложения:
Похожие вопросы
Предмет: Русский язык, автор: Анютка8303
Предмет: Қазақ тiлi, автор: nakiba321
Предмет: Русский язык, автор: katiacovalevsk