Предмет: Математика,
автор: Аноним
очееень срочно помгите пж пж пж пж пж
Приложения:
Ответы
Автор ответа:
0
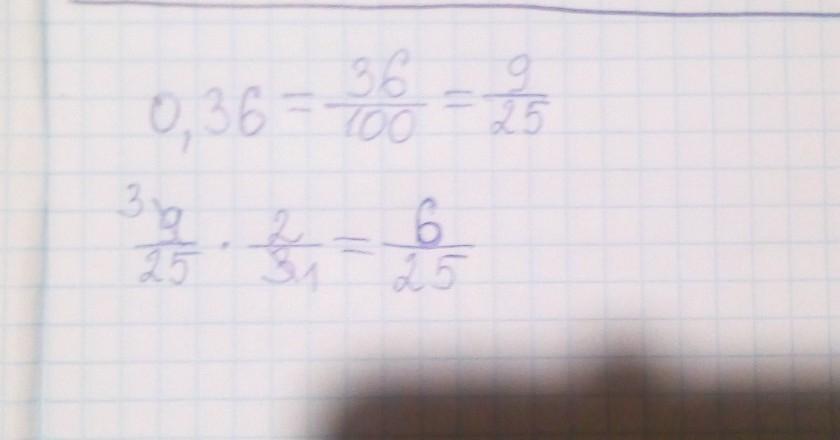
Ответ:
ответ под буквой D
Пошаговое объяснение:
нужно умножить 2\3 на 0.36.
Автор ответа:
0
Пошаговое объяснение:
Вот тебе ответ........
Приложения:
Похожие вопросы
Предмет: Русский язык,
автор: Аноним
Предмет: Русский язык,
автор: coolparadise20
Предмет: Английский язык,
автор: Рухия
Предмет: Русский язык,
автор: madinaaalisherova
Предмет: Другие предметы,
автор: zlatasneznaa